精英家教网 > 初中数学 > 题目详情

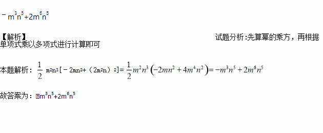
计算: m2n3[﹣2mn2+(2m2n)2]=_________.

练习册系列答案
相关习题

科目:初中数学 来源:2017届广东省九年级上学期第五次月考数学试卷(解析版) 题型:单选题

小敏在“百度”搜索中输入“勾股定理”,能搜索到与之相关的结果个数约为12 500 000,这个数用科学记数法表示为( )

A. B. C. D.

查看答案和解析>>

科目:初中数学 来源:2016-2017学年山东省滨州市邹平双语学校一二区八年级上学期期中考试数学试卷(解析版) 题型:填空题

已知a+b=8,a²b²=4,则_________.

查看答案和解析>>

科目:初中数学 来源:2016-2017学年山东省滨州市邹平双语学校一二区八年级上学期期中考试数学试卷(解析版) 题型:单选题

已知分式的值为0,那么x的值是(  )

A. ﹣1 B. ﹣2 C. 1 D. 1或﹣2

查看答案和解析>>

科目:初中数学 来源:2016-2017学年山东省滨州市邹平双语学校一二区八年级上学期期中考试数学试卷(解析版) 题型:解答题

计算:(1); (2).

查看答案和解析>>

科目:初中数学 来源:2016-2017学年山东省滨州市邹平双语学校一二区八年级上学期期中考试数学试卷(解析版) 题型:填空题

已知2m+5n﹣3=0,则4m×32n的值为____

查看答案和解析>>

科目:初中数学 来源:2016-2017学年山东省滨州市邹平双语学校一二区八年级上学期期中考试数学试卷(解析版) 题型:单选题

下列分式中,最简分式是(  )

A. B. C. D.

查看答案和解析>>

科目:初中数学 来源:2016-2017学年江苏省苏州张家港市九年级第二学期第一次模拟数学试卷(解析版) 题型:填空题

小明统计了他家今年5月份打电话的次数及通话时间,并列出了频数分布表:

通话时间/min

频数(通话次数)

20

16

9

5

则通话时间不超过1 0min的频率为_____________

查看答案和解析>>

科目:初中数学 来源:2017届山东省滨州市生学业水平模拟考试数学试卷(解析版) 题型:解答题

已知△ABC内接于⊙O,AC是⊙O的直径,D是的中点.过点D作CB的垂线,分别交CB、CA延长线于点F、E.
 

(1)判断直线EF与⊙O的位置关系,并说明理由;
(2)若CF=6,∠ACB=60°,求阴影部分的面积.

查看答案和解析>>

同步练习册答案