精英家教网 > 初中数学 > 题目详情
已知,求证:a、b、c中至少有两个互为相反数。
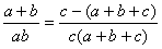
解:为了通分方便,先移项,得: 
      
       通分,相加:
      
      
     
       则有
      其中中至少有一个是零,于是可知a、b、c中至少有两个互为相反数。
练习册系列答案
相关习题

科目:初中数学 来源: 题型:

某学习小组在探索“各内角都相等的圆内接多边形是否为正多边形”时,进行如下讨论:
甲同学:这种多边形不一定是正多边形,如圆内接矩形.
乙同学:我发现边数是6时,它也不一定是正多边形,如图1,△ABC是正三角形,
AD
=
BE
=
CF
,证明六边形ADBECF的各内角相等,但它未必是正六边形.
丙同学:我能证明,边数是5时,它是正多边形,我想…,边数是7时,它可能也是正多边形.
(1)请你说明乙同学构造的六边形各内角相等;
(2)请你证明,各内角都相等的圆内接七边形ABCDEFG(如图2)是正七边形;(不必写已知,求精英家教网证)
(3)根据以上探索过程,提出你的猜想.(不必证明)

查看答案和解析>>

科目:初中数学 来源: 题型:

如图,请在下列四个等式中,选出两个作为条件,推出△AED是等腰三角形,并予以证明.(写出一种即可)
等式:①AB=DC,②BE=CE,③∠B=∠C,④∠BAE=∠CDE.精英家教网
已知:
求证:△AED是等腰三角形.
证明:

查看答案和解析>>

科目:初中数学 来源: 题型:

25、求证:等腰梯形下底的中点到两腰的距离相等.(要求完成图形,写出已知.求证,并加以证明)

查看答案和解析>>

科目:初中数学 来源: 题型:

19、求证:三角形的一边两端点到这边的中线的距离与到中线的延长线的距离相等.画图写出已知,求证并证明.

查看答案和解析>>

科目:初中数学 来源: 题型:

(1997•吉林)求证:等腰梯两腰上的高相等.(要求:写出已知,求证,并证明).

查看答案和解析>>

同步练习册答案