精英家教网 > 初中数学 > 题目详情

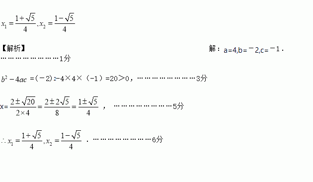
解方程:4x2-2x—1=0

练习册系列答案
相关习题

科目:初中数学 来源:2016-2017学年四川省长宁县双河学区七年级下学期第一次联考数学试卷(解析版) 题型:填空题

一张桌子的售价是238元,比一张椅子的3倍少2元,设一张椅子的售价是x元,则可得方程__________________________;

查看答案和解析>>

科目:初中数学 来源:2016-2017学年重庆市八年级下学期第一次月考数学试卷(解析版) 题型:解答题

计算:

查看答案和解析>>

科目:初中数学 来源:2016-2017学年重庆市八年级下学期第一次月考数学试卷(解析版) 题型:单选题

二次根式有意义,则( )

A. B. C. D.

查看答案和解析>>

科目:初中数学 来源:2016届江苏省南京市九年级第上学期第一次学情调研数学试卷(解析版) 题型:解答题

已知⊙O的直径50cm,弦AB∥CD,且AB=40cm,CD=48cm,求AB、CD之间的距离.

查看答案和解析>>

科目:初中数学 来源:2016届江苏省南京市九年级第上学期第一次学情调研数学试卷(解析版) 题型:填空题

已知关于x的一元二次方程x2-3x+1=0的两个实数根为,则的值为_________.

查看答案和解析>>

科目:初中数学 来源:2016届江苏省南京市九年级第上学期第一次学情调研数学试卷(解析版) 题型:单选题

一圆形玻璃被打碎后,其中四块碎片如图所示,若选择其中一块碎片带到商店,配制与原来大小一样的圆形玻璃,不能选择的是( )

A. ① B. ② C. ③ D. ④

查看答案和解析>>

科目:初中数学 来源:2016-2017学年湖北省孝感市七年级3月月考数学试卷(解析版) 题型:填空题

计算的平方根为_______。

查看答案和解析>>

科目:初中数学 来源:2016-2017学年湖南省心学校七年级(下)期中教学质量检测模拟数学试卷(解析版) 题型:解答题

先化简,再求值:

,其中.

查看答案和解析>>

同步练习册答案