精英家教网 > 初中数学 > 题目详情

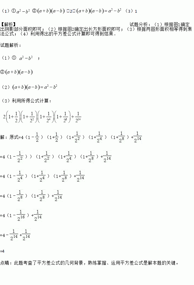
(1)① 如图1,已知正方形ABCD的边长为a,正方形FGCH的边长为b,长方形ABGE和EFHD为阴影部分,则阴影部分的面积是    (写成平方差的形式);

② 将图1中的长方形ABGE和EFHD剪下来,拼成图2所示的长方形,则长方形AHDE的面积是           (写成多项式相乘的形式);

(2)比较图1与图2的阴影部分的面积,可得乘法公式 

(3)利用所得公式计算:

练习册系列答案
相关习题

科目:初中数学 来源:2016-2017学年江苏省南通市八年级下学期期中考试数学试卷(解析版) 题型:解答题

如图,直线OC,BC的函数关系式分别是y1=x和y2=-x+6,两直线的交点为C.

(1)求点C的坐标,并直接写出y1>y2时x的范围;

(2)在直线y1上找点D,使△DCB的面积是△COB的一半,求点D的坐标;

(3)点M(t,0)是轴上的任意一点,过点M作直线l⊥轴,分别交直线y1、 y2于点E、F,当E、F两点间的距离不超过4时,求t的取值范围.

查看答案和解析>>

科目:初中数学 来源:2017届安徽省池州市中考模拟试卷数学试卷(解析版) 题型:单选题

今年5月,池州市杏花村文化旅游景区举办了国际玫瑰灯光节.据不完全统计,当晚约有98000人次来到池州市杏花村文化旅游景区、赏灯.用科学记数法表示98000正确的是(  )

A. 9.8×104 B. 9.8×105 C. 98×103 D. 9.8×10-4

查看答案和解析>>

科目:初中数学 来源:2016-2017学年安徽省芜湖市七年级下学期期中教学质量评估数学试卷(解析版) 题型:填空题

若a,b为实数,且b=+4,则a+b的值为_______.

查看答案和解析>>

科目:初中数学 来源:2016-2017学年安徽省芜湖市七年级下学期期中教学质量评估数学试卷(解析版) 题型:单选题

如图,直线AB、CD相交于点O,OE平分∠BOD,OF平分∠COE,∠AOD:∠BOE=4:1,则∠AOF的度数为( )

A. 120° B. 125° C. 130° D. 135°

查看答案和解析>>

科目:初中数学 来源:2016-2017学年甘肃省张掖市七年级下学期期中考试数学试卷(解析版) 题型:解答题

如图,已知∠BAC及BA上一点P,求作直线MN,使MN经过点P,且MN∥AC.(要求:使用尺规正确作图,保留作图痕迹)

查看答案和解析>>

科目:初中数学 来源:2016-2017学年甘肃省张掖市七年级下学期期中考试数学试卷(解析版) 题型:填空题

如图,直线AB、CD、EF相交于一点,∠1=50°,∠2=64°,则∠COF= __度.

查看答案和解析>>

科目:初中数学 来源:[首发]江苏省江苏省大丰市2017届九年级下学期第二次学情调研数学试卷 题型:解答题

如图,一海轮位于灯塔P的西南方向,距离灯塔40了2海里的A处,它沿正东方向航行一段时间后,到达位于灯塔P的南偏东60°方向上的B处,求航程AB的值(结果保留根号).

查看答案和解析>>

科目:初中数学 来源:2017届湖北省老河口市中考适应性考试数学试卷(解析版) 题型:单选题

一组数据5,4,2,5,6的中位数是( )

A. 5 B. 4 C. 2 D. 6

查看答案和解析>>

同步练习册答案