精英家教网 > 初中数学 > 题目详情
先化简,后求值:,其中a=1+,b=1-
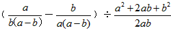
解:原式=
=
=
=
当a=1+,b=1-时,原式==1。
练习册系列答案
相关习题

科目:初中数学 来源: 题型:

先化简,后求值:(1+,其是x=-5。

 

查看答案和解析>>

科目:初中数学 来源: 题型:

先化简,后求值:(1+,其是x=-5。

查看答案和解析>>

科目:初中数学 来源:2012-2013学年湖南省宁乡县玉潭镇城北中学八年级上学期期中考试数学试卷(带解析) 题型:解答题

先化简,再求值:÷,将其化简后选择一个你喜欢的a值代入求值。

查看答案和解析>>

科目:初中数学 来源:2013届浙江丽水莲都区志竞中学八年级下期中数学卷(解析版) 题型:解答题

先化简,后求值:(1+,其是x=-5。

 

查看答案和解析>>

科目:初中数学 来源:2011-2012学年浙江丽水莲都区志竞中学八年级下期中数学卷(带解析) 题型:解答题

先化简,后求值:(1+,其是x=-5。

查看答案和解析>>

同步练习册答案