精英家教网 > 初中数学 > 题目详情
通分(1)
(2)
(3)
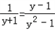
(4)
解:(1)两式的最简公分母为10a2b3c,
==
(2)两式的最简公分母为6x2y,
=
(3)两式的最简公分母为8ab2c2
=
(4)两式的最简公分母为y2﹣1,
=
练习册系列答案
相关习题

科目:初中数学 来源:2001~2002学年度第二学期教学目标检测 初二数学 题型:022

通分的变形过程和约分的变形过程的区别是________.

查看答案和解析>>

科目:初中数学 来源: 题型:解答题

通分(1)数学公式数学公式
(2)数学公式数学公式
(3)数学公式数学公式

查看答案和解析>>

科目:初中数学 来源: 题型:解答题

通分(1)数学公式数学公式
(2)数学公式数学公式
(3)数学公式数学公式
(4)数学公式数学公式

查看答案和解析>>

科目:初中数学 来源:同步题 题型:计算题

通分(1)
(2)
(3)

查看答案和解析>>

同步练习册答案