精英家教网 > 初中数学 > 题目详情

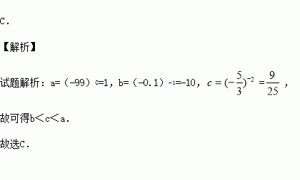
,则a、b、c三数的大小关系为( )

A.a>b>c B. c>a>b C. a>c>b D. c>b>a

练习册系列答案
相关习题

科目:初中数学 来源:2015-2016学年江苏省扬州市邗江区八年级下学期期中考试数学试卷(解析版) 题型:解答题

已知线段AB、BC, ∠ABC=90°,求作矩形ABCD.

(1)小王同学的作图痕迹如图1,请你写出他的作法;

(2)请你再设计另一种尺规作图的方法作出所求图形,保留痕迹,不必写作法.

查看答案和解析>>

科目:初中数学 来源:2016届江苏省九年级下第一次调研数学试卷(解析版) 题型:填空题

PM2.5是指大气中直径小于或等于2.5μm的颗粒物,含有大量有毒、有害物质,也可称可入肺颗粒物,将0.0000025用科学记数法表示为

查看答案和解析>>

科目:初中数学 来源:2015-2016学年江苏盐都区实验学校七年级下第一次段考数学试卷(解析版) 题型:填空题

如图,∠ABC=∠ACB,AD、BD、CD分别平分△ABC的外角∠EAC、内角∠ABC、外角∠ACF.以下结论:①AD∥BC;②∠ACB=2∠ADB;③;④BD平分∠ADC;⑤∠BDC=∠BAC.其中正确的结论有_______个.

查看答案和解析>>

科目:初中数学 来源:2015-2016学年江苏盐都区实验学校七年级下第一次段考数学试卷(解析版) 题型:填空题

如果 ,那么__________.

查看答案和解析>>

科目:初中数学 来源:2015-2016学年江苏盐都区实验学校七年级下第一次段考数学试卷(解析版) 题型:选择题

下列计算正确的是( )

A. B. C. D.

查看答案和解析>>

科目:初中数学 来源:2015-2016学年江苏盐都区实验学校八年级下第一次段考数学试卷(解析版) 题型:解答题

如图,已知△ABC的顶点A,B,C的坐标分别是A(-1,-1),B(-4,-3),C(-4,-1)

(1)作出△ABC关于原点O中心对称的图形;

(2)将△ABC绕原点O按顺时针方向旋转90°后得到△A1B1C1,画出△A1B1C1,并写出点A1的坐标.

查看答案和解析>>

科目:初中数学 来源:2015-2016学年江苏盐都区实验学校八年级下第一次段考数学试卷(解析版) 题型:选择题

下列图形中,既是轴对称图形又是中心对称图形的是( )

查看答案和解析>>

科目:初中数学 来源:2015-2016学年江苏省无锡市江阴市要塞片八年级下学期期中数学试卷(解析版) 题型:填空题

如图,矩形纸片ABCD中,AB=4,AD=3,折叠纸片使AD边与对角线BD重合,折痕为DG,则AG的长为

查看答案和解析>>

同步练习册答案