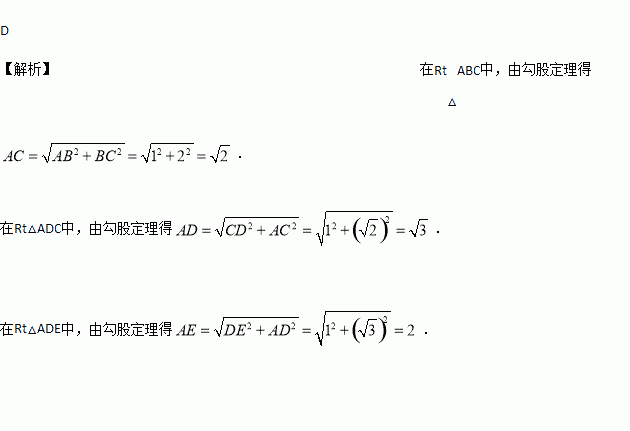
精英家教网 > 初中数学 > 题目详情

如图所示,AB=BC=CD=DE=2,AB⊥BC,AC⊥CD,AD⊥DE,则AE=( )

A. B. 3 C. 4 D. 2

练习册系列答案
相关习题

科目:初中数学 来源:福建省莆田市2016届九年级数学能力达标练习06 题型:单选题

如图,OP是∠AOB的平分线,点P到OA的距离是3,点N是OB上的任意一点,则线段 PN 的取值范围是( )

A. PN <3 B. PN > 3 C. PN ≥ 3 D. PN ≤ 3

查看答案和解析>>

科目:初中数学 来源:浙江省杭州市2016-2017学年七年级下学期期中考试数学试卷 题型:填空题

某商品进价200元,标价300元,商场规定可以打折销售,但其利润不能低于5%,该商品最多可以 折.

查看答案和解析>>

科目:初中数学 来源:福建省2016-2017学年八年级3月月考数学试卷 题型:解答题

先化简,再求值:,其中x=+1(6分)

查看答案和解析>>

科目:初中数学 来源:福建省2016-2017学年八年级3月月考数学试卷 题型:填空题

计算:(+2)2016(-2)2017=__________

查看答案和解析>>

科目:初中数学 来源:福建省2016-2017学年八年级3月月考数学试卷 题型:单选题

下列计算错误的是(  )

A. 4﹦4 B. ÷

C. ﹦5 D. ×﹦7

查看答案和解析>>

科目:初中数学 来源:广西桂林市灌阳县2016-2017学年八年级下学期期中考试数学试卷 题型:解答题

如图,∠A=∠B=90°,E是AB上的一点,且AE=BC,∠1=∠2.

(1)求证:Rt△ADE与Rt△BEC全等;

(2)求证:△CDE是直角三角形.

查看答案和解析>>

科目:初中数学 来源:广西桂林市灌阳县2016-2017学年八年级下学期期中考试数学试卷 题型:单选题

若顺次连接四边形ABCD各边的中点所得四边形是矩形,则四边形ABCD一定是( )

A. 矩形

B. 菱形

C. 对角线互相垂直的四边形

D. 对角线相等的四边形

查看答案和解析>>

科目:初中数学 来源:浙江省杭州市2016-2017学年七年级3月阶段性检测数学试卷 题型:填空题

,则的值为______________ 。

查看答案和解析>>

同步练习册答案