精英家教网 > 初中数学 > 题目详情

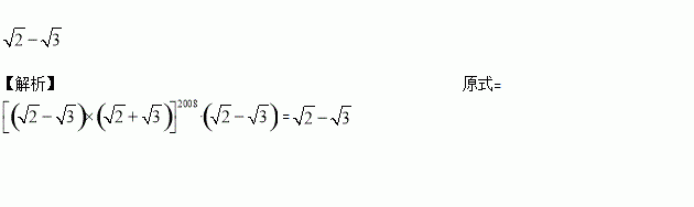
计算: =_________.

练习册系列答案
相关习题

科目:初中数学 来源:2017届山东省济南市综合素质测试模拟数学试卷(解析版) 题型:单选题

几个棱长为1的正方体组成的几何体的三视图如图所示,则这个几何体的体积是(  )

A. 4 B. 5 C. 6 D. 7

查看答案和解析>>

科目:初中数学 来源:2016-2017学年山东省八年级下学期期中考试数学试卷(解析版) 题型:填空题

如图所示,矩形ABCD的两条对角线相交于点O,∠AOB=60°,AB=2,则矩形的面积是_________.

查看答案和解析>>

科目:初中数学 来源:2016-2017学年贵州省遵义市第二学期八年级半期模拟考试数学试卷(解析版) 题型:解答题

如图,O为矩形ABCD对角线的交点,DE∥AC,CE∥BD.

(1)试判断四边形OCED的形状,并说明理由;

(2)若AB=6,BC=8,求四边形OCED的面积.

查看答案和解析>>

科目:初中数学 来源:2016-2017学年贵州省遵义市第二学期八年级半期模拟考试数学试卷(解析版) 题型:解答题

计算:(1)

(2)

查看答案和解析>>

科目:初中数学 来源:2016-2017学年贵州省遵义市第二学期八年级半期模拟考试数学试卷(解析版) 题型:单选题

下列各式计算正确的是( )

A. B.

C. D.

查看答案和解析>>

科目:初中数学 来源:2016-2017学年贵州省遵义市第二学期八年级半期模拟考试数学试卷(解析版) 题型:单选题

已知正方形的边长为4cm,则其对角线长是()

A. 8cm B. 16cm C. 32cm D. cm

查看答案和解析>>

科目:初中数学 来源:2016-2017学年浙江省桐乡市现代片区八年级3月月考数学试卷(解析版) 题型:单选题

已知方程(x+m)(x-4)=0和方程x2-2x-8=0的两根分别相等,则m等于( )

A. 1 B. -1 C. 2 D. -2

查看答案和解析>>

科目:初中数学 来源:2017届山东省诸城市部分学校中考模拟(3月)数学试卷(解析版) 题型:填空题

如图:在x轴的上方,直角∠BOA绕原点O顺时针方向旋转,若∠BOA的两边分别与函数y=-、y=的图象交于B、A两点,则tanA=_____________.

查看答案和解析>>

同步练习册答案