精英家教网 > 初中数学 > 题目详情

在实数﹣2, ,0.1122,π中,无理数的个数为(  )

A. 0个 B. 1个 C. 2个 D. 3个

练习册系列答案
相关习题

科目:初中数学 来源:2016-2017学年广东省高州市七年级上学期期中考试数学(A卷)(解析版) 题型:单选题

如图是正方体的表面展开图的是(  )

A. B. C. D.

查看答案和解析>>

科目:初中数学 来源:2017届四川省简阳市石板学区九年级下学期第一次中考模拟数学试卷(解析版) 题型:填空题

某市常住人口约为5245000人,数字5245000用科学记数法表示为

查看答案和解析>>

科目:初中数学 来源:2016-2017学年安徽省蚌埠市七年级下学期第一次月考数学试卷(解析版) 题型:解答题

把下列各数分别填在相应的括号内:

整数

分数

无理数

查看答案和解析>>

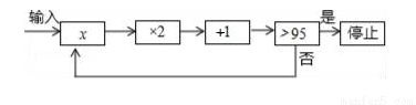
科目:初中数学 来源:2016-2017学年安徽省蚌埠市七年级下学期第一次月考数学试卷(解析版) 题型:选择题

运行程序如图所示,规定:从“输入一个值x”到“结果是否>95”为一次程序操作,如果程序操作进行了三次才停止,那么x的取值范围是( )

A. x≥11 B.11≤x<23 C.11<x≤23 D.x≤23

查看答案和解析>>

科目:初中数学 来源:2016-2017学年山东微山兴体中学下学期七年级第一次月考数学试卷(解析版) 题型:单选题

一辆汽车在笔直的公路上行驶,两次拐弯后,仍在原来的方向上平行前进,那么两次拐弯的角度是(  )

A. 第一次右拐50°,第二次左拐130° B. 第一次左拐50°,第二次右拐50°

C. 第一次左拐50°,第二次左拐130° D. 第一次右拐50°,第二次右拐50°

查看答案和解析>>

科目:初中数学 来源:2016-2017学年广西钦州市七年级3月月考数学试卷(解析版) 题型:解答题

如图,已知AD⊥BC于D,EG⊥BC于G,∠E=∠3,AD平分∠BAC吗 ?若平分,请写出推理过程;若不平分,试说明理由.

查看答案和解析>>

科目:初中数学 来源:2016-2017学年广西钦州市七年级3月月考数学试卷(解析版) 题型:单选题

有下列说法:①△ABC在平移的过程中,对应线段一定相等。②△ABC在平移的过程中,对应线段一定平行。③△ABC在平移的过程中,周长不变。④△ABC在平移的过程中,面积不变。其中正确的有

A. ①②③ B. ①②④ C. ①③④ D. ②③④

查看答案和解析>>

科目:初中数学 来源:2016-2017学年河南省周口市西华县八年级下学期期中考试数学试卷(解析版) 题型:填空题

实数a,b在数轴上的对应点如图所示,则∣a-b∣-____________.

查看答案和解析>>

同步练习册答案