精英家教网 > 初中数学 > 题目详情

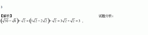
计算的结果是

练习册系列答案
相关习题

科目:初中数学 来源:2017年北京昌平初三数学二模试卷及答案 题型:单选题

如图,两个一次函数图象的交点坐标为(2,4),则关于x,y的方程组的解为( )

A. B. C. D.

查看答案和解析>>

科目:初中数学 来源:[首发]广东省深圳市南山区2017届九年级第三次模拟考试数学试卷 题型:填空题

如图中每个阴影部分是以多边形各顶点为圆心,1为半径的扇形,并且所有多边形的每条边长都大于2,则第个多边形中,所有扇形面积之和是 .(结果保留π).

查看答案和解析>>

科目:初中数学 来源:湖北省黄冈市2017届九年级中考模拟数学试卷(D卷) 题型:解答题

如图,某校少年宫数学课外活动初三小组的同学为测量一座铁塔AM的高度如图,他们在坡度是i=1:2.5的斜坡DE的D处,测得楼顶的移动通讯基站铁塔的顶部A和楼顶B的仰角分别是60°、45°,斜坡高EF=2米,CE=13米,CH=2米。大家根据所学知识很快计算出了铁塔高AM。亲爱的同学们,相信你也能计算出铁塔AM的高度!请你写出解答过程。(数据≈1.41, ≈1.73供选用,结果保留整数)

查看答案和解析>>

科目:初中数学 来源:湖北省黄冈市2017届九年级中考模拟数学试卷(D卷) 题型:解答题

解不等式组并在数轴上表示出它的解集.

查看答案和解析>>

科目:初中数学 来源:湖北省黄冈市2017届九年级中考模拟数学试卷(D卷) 题型:单选题

一只盒子中有红球m个,白球8个,黑球n个,每个球除颜色外都相同,从中任取一个球,取得白球的概率与不是白球的概率相同,那么m与n的关系是( )

A. m=3,n=5 B. m=n=4 C. m+n=4 D. m+n=8

查看答案和解析>>

科目:初中数学 来源:[首发]江苏省兴化市顾庄学区四校2016-2017学年七年级下学期第三次月考数学试卷 题型:解答题

在所给图形中:

⑴求证:∠BDC=∠A+∠B+∠C;

⑵如果点D与点A分别在线段BC的两侧,猜想∠BDC、∠A、∠B、∠C这4个角之间有怎样的关系,并证明你的结论.

查看答案和解析>>

科目:初中数学 来源:[首发]江苏省兴化市顾庄学区四校2016-2017学年七年级下学期第三次月考数学试卷 题型:填空题

用科学计数法表示0.000000001=_____________。

查看答案和解析>>

科目:初中数学 来源:2017年北京怀柔初三数学二模试卷及答案 题型:解答题

已知:如图,在四边形ABCD中,AB⊥BD,AD∥BC,∠ADB=45°,∠C=60°,AB=.

求四边形ABCD的周长.

查看答案和解析>>

同步练习册答案