精英家教网 > 初中数学 > 题目详情
已知抛物线y=ax2+bx+c(a≠0)经过(0,1)和(2,-3)两点。
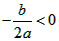
(1)如果抛物线开口向下,对称轴在y轴的左侧,求a的取值范围;
(2)若对称轴为x=-1,求抛物线的解析式。
解:(1)由题意得c=1,4a+2b+c=-3,
∵对称轴在y轴的左侧,

∴-1<a<0;
(2)∵c=1,4a+2b+c=-3,
,b=-1,c=1,
∴抛物线的解析式为y=
练习册系列答案
相关习题

科目:初中数学 来源: 题型:

如图,已知抛物线y=ax2+bx+c(a≠0)经过A(-2,0),B(0,-4),C(2,-4)三点,且精英家教网与x轴的另一个交点为E.
(1)求抛物线的解析式;
(2)用配方法求抛物线的顶点D的坐标和对称轴;
(3)求四边形ABDE的面积.

查看答案和解析>>

科目:初中数学 来源: 题型:

已知抛物线y=ax2和直线y=kx的交点是P(-1,2),则a=
 
,k=
 

查看答案和解析>>

科目:初中数学 来源: 题型:

2、已知抛物线y=ax2+bx+c的开口向下,顶点坐标为(2,-3),那么该抛物线有(  )

查看答案和解析>>

科目:初中数学 来源: 题型:

精英家教网如图,已知抛物线y=ax2+bx+c(其中b>0,c<0)的顶点P在x轴上,与y轴交于点Q,过坐标原点O,作OA⊥PQ,垂足为A,且OA=
2
,b+ac=3.
(1)求b的值;
(2)求抛物线的解析式.

查看答案和解析>>

科目:初中数学 来源: 题型:

(2013•广州)已知抛物线y1=ax2+bx+c(a≠0,a≠c)过点A(1,0),顶点为B,且抛物线不经过第三象限.
(1)使用a、c表示b;
(2)判断点B所在象限,并说明理由;
(3)若直线y2=2x+m经过点B,且于该抛物线交于另一点C(
ca
,b+8
),求当x≥1时y1的取值范围.

查看答案和解析>>

同步练习册答案