精英家教网 > 初中数学 > 题目详情

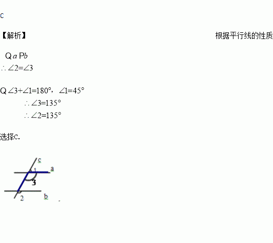
如图,直线a∥b,如果∠1=45°,那么∠2等于 ( )

A. 150° B. 140°  C. 135° D. 120°

练习册系列答案
相关习题

科目:初中数学 来源:2017届辽宁省九年级4月月考数学试卷(解析版) 题型:解答题

(10分)先化简,再求代数式的值,其中a=tan60°-2sin30°.

查看答案和解析>>

科目:初中数学 来源:2016-2017学年浙江省宁波市八年级上学期第二次月考数学试卷(解析版) 题型:选择题

下列说法正确的是( )

A.直角三角形只有一条高

B.三角形的外角大于任何一个内角

C.三角形的角平分线是射线

D.三角形的中线都平分它的面积

查看答案和解析>>

科目:初中数学 来源:2016-2017学年浙江省宁波市八年级上学期第三次月考数学试卷(解析版) 题型:单选题

分析下列四种调查:①了解我们学校所有八年级学生的视力状况;②估计小明家一年总用电量;③登飞机前,对所有旅客进行安全检查;④了解中小学生的主要娱乐方式;其中应作普查的是:______(填序号)

查看答案和解析>>

科目:初中数学 来源:2016-2017学年浙江省宁波市八年级上学期第三次月考数学试卷(解析版) 题型:单选题

八年级(1)班50名学生的年龄统计结果如上表所示:则此班学生年龄的众数、中位数分别为( )

A. 14,14 B. 15,14 C. 14,15 D. 15,16

查看答案和解析>>

科目:初中数学 来源:2016-2017学年山东省济南外国语学校八年级上学期期中考试数学试卷(解析版) 题型:解答题

先化简再求值:

,其中:

查看答案和解析>>

科目:初中数学 来源:2016-2017学年山东省济南外国语学校八年级上学期期中考试数学试卷(解析版) 题型:填空题

在等腰中, ,则边上的高是________

查看答案和解析>>

科目:初中数学 来源:2017届天津市东丽区九年级上学期期末考试数学试卷(解析版) 题型:解答题

如图,抛物线轴交于两点(点在点的左侧),点的坐标为,与轴交于点,作直线.动点轴上运动,过点轴,交抛物线于点,交直线于点,设点的横坐标为

(Ⅰ)求抛物线的解析式和直线的解析式;

(Ⅱ)当点在线段上运动时,求线段的最大值;

(Ⅲ)当以为顶点的四边形是平行四边形时,直接写出的值.

查看答案和解析>>

科目:初中数学 来源:2017届山东省滨州市邹平双语学校一二区九年级上学期期中考试数学试卷(解析版) 题型:单选题

如图,将斜边长为4的直角三角板放在直角坐标系xOy中,两条直角边分别与坐标轴重合,点P为斜边的中点.现将此三角板绕点O顺时针旋转120°后,点P的对应点的坐标是(  )

A. B. C. D.

查看答案和解析>>

同步练习册答案