精英家教网 > 初中数学 > 题目详情

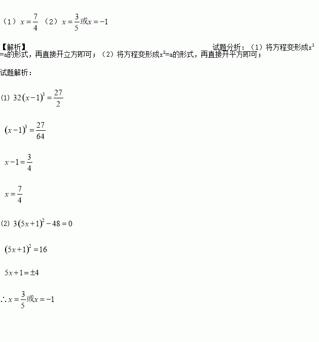
求出该方程中的值:(1) (2)

练习册系列答案
相关习题

科目:初中数学 来源:2016-2017学年湖北省孝感市七年级3月月考数学试卷(解析版) 题型:解答题

(本题5分+5分=10分)

(1)计算:(﹣1)2017+﹣|﹣4|; (2)解方程: (x—2)2-9=0

查看答案和解析>>

科目:初中数学 来源:2016-2017学年江苏江阴市七年级3月月考数学试卷(解析版) 题型:单选题

如图,A,B,C,D中的哪幅图案可以通过图案①平移得到( )

A. B. C. D.

查看答案和解析>>

科目:初中数学 来源:2016-2017学年湖南省心学校七年级(下)期中教学质量检测模拟数学试卷(解析版) 题型:单选题

本学期的五次数学测试中,甲、乙两同学的平均成绩一样,方差分别为1.2、0.5,则下列说法正确的是( )

A. 乙同学的成绩更稳定 B. 甲同学的成绩更稳定

C. 甲、乙两位同学的成绩一样稳定 D. 不能确定

查看答案和解析>>

科目:初中数学 来源:2016-2017学年湖南省心学校七年级(下)期中教学质量检测模拟数学试卷(解析版) 题型:单选题

不等式组的解集为( )

A. x>3 B. x≤4 C. D.

查看答案和解析>>

科目:初中数学 来源:2016-2017学年江苏省七年级下学期第一次阶段性检测数学试卷(解析版) 题型:填空题

,化简=_________.

查看答案和解析>>

科目:初中数学 来源:2016-2017学年江苏省七年级下学期第一次阶段性检测数学试卷(解析版) 题型:填空题

的平方根是_________; _________.

查看答案和解析>>

科目:初中数学 来源:2016-2017学年湖北黄石江北中学七年级(下)期中模拟数学试卷(解析版) 题型:填空题

如图,已知A(0,﹣4)、B(3,﹣4),C为第四象限内一点且∠AOC=70°,若∠CAB=20°,则∠OCA=______.

查看答案和解析>>

科目:初中数学 来源:2017届浙江省宁波市鄞州区九年级4月学业模拟数学试卷(解析版) 题型:解答题

已知:抛物线y=-x2+bx+c经过点B(-1,0)和点C(2,3).(1)求此抛物线的表达式;(2)如果此抛物线沿y轴平移一次后过点(-2,1),试确定这次平移的方向和距离.

查看答案和解析>>

同步练习册答案