精英家教网 > 初中数学 > 题目详情

计算: (﹣2)4×()5= ________.

练习册系列答案
相关习题

科目:初中数学 来源:2016-2017学年江苏省江阴市华士片八年级下学期期中考试数学试卷(解析版) 题型:单选题

下列各式中,正确的是(  )

A. B. C. D.

查看答案和解析>>

科目:初中数学 来源:2017届浙江省杭州市大江东九年级第一次中考模拟考试数学试卷(解析版) 题型:填空题

规定用符号[]表示一个实数的整数部分,例如:[]=0,[3.14]=3.按此规定,则[]的值为______.

查看答案和解析>>

科目:初中数学 来源:2016-2017学年江苏省东台市第二教育联盟七年级下学期期中考试数学试卷(解析版) 题型:解答题

先化简,再求值:(2a+3)(a-2)-a(2a-3),其中a=-2.

查看答案和解析>>

科目:初中数学 来源:2016-2017学年江苏省东台市第二教育联盟七年级下学期期中考试数学试卷(解析版) 题型:填空题

一个三角形的两边长分别是2和4,第三边长为偶数,则这个三角形的周长是__.

查看答案和解析>>

科目:初中数学 来源:2016-2017学年江苏省东台市第二教育联盟七年级下学期期中考试数学试卷(解析版) 题型:单选题

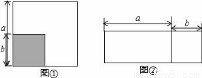
如图①,从边长为a的正方形中剪去一个边长为b的小正方形,然后将剩余部分剪拼成一个长方形(如图②),则上述操作所能验证的公式是( )

A. (a+b)(a﹣b)=a2﹣b2 B. (a﹣b)2=a2﹣2ab+b2

C. (a+b)2=a2+2ab+b2 D. a2+ab=a(a+b)

查看答案和解析>>

科目:初中数学 来源:2017届山东省济南市历城区九年级第一次模拟考试数学试卷(解析版) 题型:解答题

某校初三(1)班部分同学接受一次内容为“最适合自己的考前减压方式”的调查活动,收集整理数据后,老师将减压方式分为五类,并绘制了图1、图2两个不完整的统计图,请根据图中的信息解答下列问题.

(1)初三(1)班接受调查的同学共有多少名;

(2)补全条形统计图,并填空:听音乐的 人,扇形统计图中“体育活动C”所对应的圆心角度数

(3)若喜欢“交流谈心”的5名同学中有三名男生和两名女生;老师想从5名同学中任选两名同学进行交流,用树状图或列表法求选取的两名同学都是女生的概率.

查看答案和解析>>

科目:初中数学 来源:2017届山东省济南市历城区九年级第一次模拟考试数学试卷(解析版) 题型:单选题

不等式组的解集在数轴上表示为(  )

A. B. C. D.

查看答案和解析>>

科目:初中数学 来源:2016-2017学年浙江省宁波市九校八年级下学期期中联考数学试卷(解析版) 题型:填空题

如图,已知Rt△ABC中,∠ACB=90°,以斜边AB为边向外作正方形ABDE,且正方形的对角线交于点O,连结OC.已知AC=5,OC=6,则另一直角边BC的长为

查看答案和解析>>

同步练习册答案