精英家教网 > 初中数学 > 题目详情

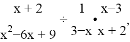
先化简,再求值: ,其中

练习册系列答案
相关习题

科目:初中数学 来源:2016-2017学年江苏省宜兴市八年级下学期期中考试数学试卷(解析版) 题型:单选题

如图,O是矩形ABCD的对称中心,M是AD的中点.若BC=8,OB=5,则OM的长为 (     )

A. 4 B. 3 C. 2 D. 1

查看答案和解析>>

科目:初中数学 来源:2015-2016学年江苏省南通市八年级下学期期中考试数学试卷(解析版) 题型:解答题

在平行四边形ABCD中,∠BAD=150°,AB=8cm,BC=10cm,求平行四边形ABCD的面积.

查看答案和解析>>

科目:初中数学 来源:2015-2016学年江苏省南通市八年级下学期期中考试数学试卷(解析版) 题型:选择题

如图,平行四边形ABCD中,AB=3,BC=5,AC的垂直平分线交AD于E,则△CDE的周长是( )

A.6B.8 C.9D.10

查看答案和解析>>

科目:初中数学 来源:2017届广东省汕头市澄海区九年级5月中考模拟数学试卷(解析版) 题型:解答题

如图,在平面直角坐标系中,一次函数的图象与反比例函数的图象交于点A(1,3)和B(-3, ).

(1)求一次函数和反比例函数的解析式;

(2)点C是平面直角坐标系内一点,BC∥轴,AD⊥BC于点D,连结AC,若,求点C的坐标.

查看答案和解析>>

科目:初中数学 来源:2017届广东省汕头市澄海区九年级5月中考模拟数学试卷(解析版) 题型:填空题

若关于的一元二次方程有实数根,则的取值范围是 _____

查看答案和解析>>

科目:初中数学 来源:2017届广东省汕头市澄海区九年级5月中考模拟数学试卷(解析版) 题型:单选题

不等式组的解集在数轴上表示正确的是( )

A. B. C. D.

查看答案和解析>>

科目:初中数学 来源:2017届福建省九年级下学期第二次质量检测数学试卷(解析版) 题型:单选题

在△ABC中,DE是△ABC的中位线,则S△ADE:S△ABC=________

查看答案和解析>>

科目:初中数学 来源:2016-2017学年广东省深圳市宝安区八年级下学期期中考试数学试卷(解析版) 题型:解答题

先化简,再求值:其中x=2017.

查看答案和解析>>

同步练习册答案