精英家教网 > 初中数学 > 题目详情

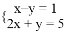
(本题满分10分)解方程组:

练习册系列答案
相关习题

科目:初中数学 来源:2017届湖南省娄底市九年级中考一模数学试卷(解析版) 题型:填空题

将一张长方形纸片折叠成如图所示的形状,则∠ABC=_________.

查看答案和解析>>

科目:初中数学 来源:2016-2017学年河北省唐山市路南区八年级下学期期中质量检测数学试卷(解析版) 题型:解答题

如图,在□ABCD中,点E、F分别是BC,AD上的点,且BE=DF,对角线AC⊥AB.

(1)求证:四边形AECF是平行四边形;

(2)①当E为BC的中点时,求证:四边形AECF是菱形;

②若AB=6,BC=10,当BE长为   时,四边形AECF是矩形.

③四边形AECF有可能成为正方形吗?答: .(填“有”或“没有”)

查看答案和解析>>

科目:初中数学 来源:2016-2017学年河北省唐山市路南区八年级下学期期中质量检测数学试卷(解析版) 题型:单选题

如果梯子的底端离建筑物5米,13米长的梯子顶端可以达到建筑物的高度是( )

A. 12米 B. 13米 C. 14米 D. 15米

查看答案和解析>>

科目:初中数学 来源:2017届上海市嘉定区初三第二学期质量调研测试数学试卷(解析版) 题型:解答题

已知:,⊙经过点.以为一边画平行四边形,另一边经过点(如图1).以点为圆心,为半径画弧,交线段于点(点不与点、点重合).

(1)求证:

(2)如果⊙的半径长为(如图2),设,求关于的函数解析式,并写出它的定义域;

(3)如果⊙的半径长为,联结,当时,求的长.

查看答案和解析>>

科目:初中数学 来源:2017届上海市嘉定区初三第二学期质量调研测试数学试卷(解析版) 题型:填空题

从山底点测得位于山顶点的仰角为,那么从点测得点的俯角为__度.

查看答案和解析>>

科目:初中数学 来源:2017届上海市嘉定区初三第二学期质量调研测试数学试卷(解析版) 题型:填空题

已知,那么__(保留两个有效数字).

查看答案和解析>>

科目:初中数学 来源:2017届上海市宝山区九年级第二学期期中考试数学试卷(解析版) 题型:填空题

如图,在□ABCD中,以点为圆心,以任意长为半径作弧,分别交于点,再分别以为圆心,以大于的长为半径作弧,两弧在内交于点M,连接BM并延长交AD于点E,则DE的长为_________.

查看答案和解析>>

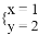
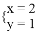
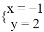
科目:初中数学 来源:2016-2017学年广西北海市合浦县七年级下学期期中考试数学试卷(解析版) 题型:单选题

方程组的解是( )

A. B. C. D.

查看答案和解析>>

同步练习册答案