精英家教网 > 初中数学 > 题目详情

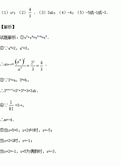
①计算x2•x4=__ __

②已知,那么

③已知3n=a,3m=b,则3m+n+1=

④已知,则= .

⑤已知: ,则x=___ _ ___

练习册系列答案
相关习题

科目:初中数学 来源:2015-2016学年山东省七年级下第一次月考数学试卷(解析版) 题型:选择题

如图,小明从A处出发沿北偏东60°方向行走至B处,又沿北偏西方向行走至C处,此时需把方向调整到与出发时一致,则方向的调整应是()

A.右转80° B.左转80° C.右转100° D.左转100°

查看答案和解析>>

科目:初中数学 来源:2016届江苏省扬州市宝应县九年级下学期第一次网上阅卷测试数学试卷(解析版) 题型:填空题

正方形A1B1C1O,A2B2C2C1,A3B3C3C2,…按如图的方式放置.点A1,A2,A3,…和点C1,C2,C3,…分别在直线y=x+1和x轴上,则点B6的坐标是

查看答案和解析>>

科目:初中数学 来源:2016届江苏省扬州市宝应县九年级下学期第一次网上阅卷测试数学试卷(解析版) 题型:选择题

的值是

A. 1 B.-1 C.2016 D.-2016

查看答案和解析>>

科目:初中数学 来源:2015-2016学年江苏省宜兴市丁蜀七校七年级下3月月考数学试卷(解析版) 题型:解答题

计算:(1) 5( m2 )6 -3 (-m4)3 (2) 214×(-)7

(3) (4) (x-y)(y-x)— 2[(x-y)3 ]3

查看答案和解析>>

科目:初中数学 来源:2015-2016学年江苏省宜兴市丁蜀七校七年级下3月月考数学试卷(解析版) 题型:选择题

如果 ,,那么三数的大小关系为( )

A. B. C. D.

查看答案和解析>>

科目:初中数学 来源:2015-2016学年江苏省宜兴市丁蜀七校七年级下3月月考数学试卷(解析版) 题型:选择题

下列等式中,计算正确的是( )

A. a2·a3=a6 B.(a2b3)m=(am)2·(bm)3

C.(am+bn)2=a2m+b2n D.a2+b3=2a5

查看答案和解析>>

科目:初中数学 来源:2015-2016学年江苏省盐城市盐都区西片八年级下第一次月考数学试卷(解析版) 题型:填空题

已知□ABCD中,∠A比∠B小20°,那么∠C的度数是________.

查看答案和解析>>

科目:初中数学 来源:2015-2016学年江苏省无锡市华士片八年级下学期期中考试数学试卷(解析版) 题型:解答题

在数学兴趣小组活动中,小明进行数学探究活动.将边长为2的正方形ABCD与边长为3的正方形AEFG按图1位置放置,AD与AE在同一条直线上,AB与AG在同一条直线上.

(1)小明发现,请你帮他说明理由.

(2)如图2,小明将正方形ABCD绕点A逆时针旋转,当点B恰好落在线段DG上时,请你帮他求出此时△ADG的面积.

(3)如图3,若小明将正方形ABCD绕点A继续逆时针旋转,顺次连接BD、DE、EG、GB,请你直接写出四边形BDEG面积的最大值

查看答案和解析>>

同步练习册答案