精英家教网 > 初中数学 > 题目详情

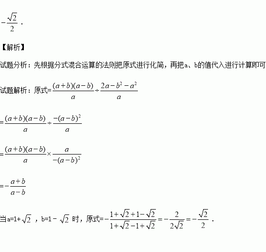
先化简,再求值:,其中,a=1+,b=1﹣

练习册系列答案
相关习题

科目:初中数学 来源:2016届安徽省毕业班五校第四次联考数学试卷(解析版) 题型:解答题

如图,在由边长为1的单位正方形组成的网格中,按要求画出坐标系及△A1B1C1及△A2B2C2;

(1)若点A、C的坐标分别为(-3,0)、(-2,3),请画出平面直角坐标系并指出点B的坐标;

(2)画出△ABC关于轴对称再向上平移1个单位后的图形△A1B1C1;

(3)以图中的点D为位似中心,将△A1B1C1作位似变换且把边长放大到原来的两倍,得到△A2B2C2.

查看答案和解析>>

科目:初中数学 来源:2015-2016学年广东普宁华侨管理区中学七年级下第一次段考数学卷(解析版) 题型:选择题

同一平面内的三条直线a,b,c,若a⊥b,b∥c,则a与c( ).

A.平行 B.垂直 C.相交 D.重合

查看答案和解析>>

科目:初中数学 来源:2015-2016学年甘肃省八年级下学期第一次月考数学试卷(解析版) 题型:选择题

下列不等式变形正确的是 ( )

A.由a>b得ac>bc B.由a>b得-2a>-2b

C.由a>b得-a<-b D.由a>b得a-2<b-2

查看答案和解析>>

科目:初中数学 来源:2015-2016学年甘肃省八年级下学期第一次月考数学试卷(解析版) 题型:选择题

若m>n,下列不等式不一定成立的是( )

A.m+2>n+2 B.2m>2n C. D.m2>n2

查看答案和解析>>

科目:初中数学 来源:2015-2016学年甘肃定西安定区公园路中学八年级下第一次月考数学卷(解析版) 题型:填空题

已知命题:“如果两个三角形全等,那么这两个三角形的面积相等.”写出它的逆命题: ,该逆命题是 命题(填“真”或“假”).

查看答案和解析>>

科目:初中数学 来源:2015-2016学年甘肃定西安定区公园路中学八年级下第一次月考数学卷(解析版) 题型:填空题

若实数a、b满足,则=

查看答案和解析>>

科目:初中数学 来源:2016届江苏省盐城市东台市一教九年级下学期第一次月考数学试卷(解析版) 题型:解答题

如图,一艘轮船航行到B处时,测得小岛A在船的北偏东60°的方向,轮船从B处继 续向正东方向航行200海里到达C处时,测得小岛A在船的北偏东30°的方向.己知在小岛周围170海里内有暗礁,若轮船不改变航向继续向前行驶,试问轮船有无触礁的危险?(≈1.732)

查看答案和解析>>

科目:初中数学 来源:2015-2016学年湖南省八年级下第一次月考数学试卷(解析版) 题型:选择题

直线y=x-1的图象经过第( )象限.

A.一、二、三 B.一、二、四 C.二、三、四 D.一、三、四

查看答案和解析>>

同步练习册答案