精英家教网 > 初中数学 > 题目详情

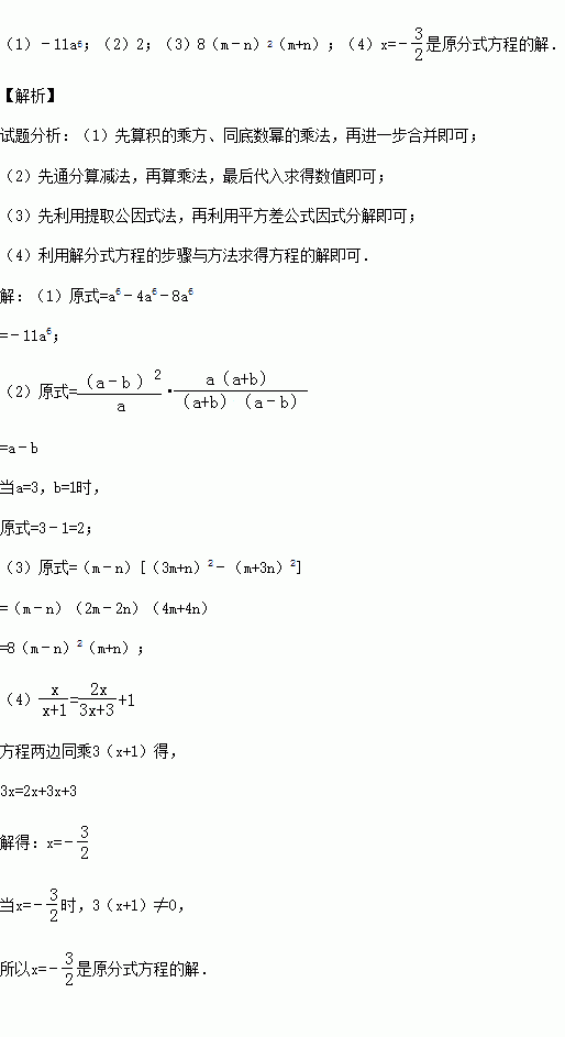
(2015秋•涞水县期末)计算:

(1)a•a5﹣(2a3)2+(﹣2a2)3

(2)先化简(a﹣,再求值,其中a=3,b=1

(3)分解因式:(m﹣n)(3m+n)2+(m+3n)2(n﹣m)

(4)解分式方程:

练习册系列答案
相关习题

科目:初中数学 来源:2015-2016学年河南省驻马店市七年级上学期期末数学试卷(解析版) 题型:填空题

(2015秋•驻马店期末)如图,将长方形纸片的一角作折叠,使顶点A落在A′处,EF为折痕,若EA′恰好平分∠FEB,则∠FEB的度数是

查看答案和解析>>

科目:初中数学 来源:2015-2016学年河北省邯郸市武安市七年级上学期期末数学试卷(解析版) 题型:解答题

(2015秋•武安市期末)如图,已知点C是线段AB的中点,点D是线段AC的中点,点E是线段BC的中点.

(1)若线段DE=11cm,求线段AB的长.

(2)若线段CE=4cm,求线段DB的长.

查看答案和解析>>

科目:初中数学 来源:2015-2016学年河北省邯郸市武安市七年级上学期期末数学试卷(解析版) 题型:选择题

(2015秋•武安市期末)下面等式成立的是( )

A.83.5°=83°50′

B.37°12′36″=37.48°

C.24°24′24″=24.44°

D.41.25°=41°15′

查看答案和解析>>

科目:初中数学 来源:2015-2016学年河北省保定市涞水县八年级上学期期末数学试卷(解析版) 题型:解答题

(2014•自贡)学校新到一批理、化、生实验器材需要整理,若实验管理员李老师一人单独整理需要40分钟完成,现在李老师与工人王师傅共同整理20分钟后,李老师因事外出,王师傅再单独整理了20分钟才完成任务.

(1)王师傅单独整理这批实验器材需要多少分钟?

(2)学校要求王师傅的工作时间不能超过30分钟,要完成整理这批器材,李老师至少要工作多少分钟?

查看答案和解析>>

科目:初中数学 来源:2015-2016学年河北省保定市涞水县八年级上学期期末数学试卷(解析版) 题型:选择题

(2015秋•青山区期末)当x分别取﹣2015、﹣2014、﹣2013、…,、﹣2、﹣1、0、1、、…、时,计算分式的值,再将所得结果相加,其和等于( )

A.﹣1 B.1 C.0 D.2015

查看答案和解析>>

科目:初中数学 来源:2015-2016学年河北省保定市涞水县八年级上学期期末数学试卷(解析版) 题型:选择题

(2014•台湾)如图,锐角三角形ABC中,直线L为BC的中垂线,直线M为∠ABC的角平分线,L与M相交于P点.若∠A=60°,∠ACP=24°,则∠ABP的度数为何?( )

A.24° B.30° C.32° D.36°

查看答案和解析>>

科目:初中数学 来源:2015-2016学年河北省保定市高阳县七年级上学期期末数学试卷(解析版) 题型:填空题

(2015秋•高阳县期末)有一个正方体的六个面上分别标有数字1、2、3、4、5、6,从三个不同的角度观察这个正方体所得到的结果如图所示,如果标有数字6的面所对面上的数字记为a,2的面所对面上数字记为b,那么a+b的值为

查看答案和解析>>

科目:初中数学 来源:2015-2016学年广东省广州市荔湾区七年级上学期期末数学试卷(解析版) 题型:选择题

(2015•玉林)的相反数是( )

A.﹣ B. C.﹣2 D.2

查看答案和解析>>

同步练习册答案