精英家教网 > 初中数学 > 题目详情

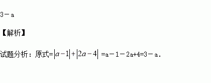
实数在数轴上的位置如图所示,化简= _.

练习册系列答案
相关习题

科目:初中数学 来源:2017届吉林省长春市九年级毕业一诊数学试卷(解析版) 题型:单选题

如图,AB∥CD,AD=CD,∠2=40°,则∠1的度数是( )

A. 80° B. 75° C. 70° D. 65°

查看答案和解析>>

科目:初中数学 来源:2016-2017学年江苏省常熟市第二学期八年级期中考试数学试卷(解析版) 题型:填空题

如图,矩形中, 交于点平分于点,连接,则________。

查看答案和解析>>

科目:初中数学 来源:2016-2017学年江苏省江阴市澄西片八年级下学期期中考试数学试卷(解析版) 题型:解答题

2016年“母亲节”前夕,某花店用4000元购进若干束花,很快售完,接着又用4500元购进第二批花,已知第二批所购花的束数是第一批所购花束数的1.5倍,且每束花的进价比第一批的进价少5元,求第一批花每束的进价是多少?

查看答案和解析>>

科目:初中数学 来源:2016-2017学年江苏省江阴市澄西片八年级下学期期中考试数学试卷(解析版) 题型:填空题

如图,菱形ABCD中,AB=4,∠B=60°,E,F分别是BC,DC上的点,∠EAF=60°,连接EF,则△AEF的面积最小值是_________.

查看答案和解析>>

科目:初中数学 来源:2016-2017学年江苏省江阴市澄西片八年级下学期期中考试数学试卷(解析版) 题型:单选题

如图,将ABCD沿对角线AC折叠,使点B落在点B’处.若∠1=∠2=44°,则∠B为 ( )

A. 124° B. 114° C. 104° D. 66

查看答案和解析>>

科目:初中数学 来源:2016-2017学年山东省滨州市阳信县七年级下学期期中考试数学试卷(解析版) 题型:解答题

如图,∠1+∠2=180°,∠DAE=∠BCF,DA平分∠BDF.

(1)AE与FC会平行吗?说明理由.

(2)AD与BC的位置关系如何?为什么?

(3)求证:BC平分∠DBE.

查看答案和解析>>

科目:初中数学 来源:2016-2017学年山东省滨州市阳信县七年级下学期期中考试数学试卷(解析版) 题型:单选题

估计的值在哪两个整数之间( )

A. 75和77 B. 6和7 C. 7和8 D. 8和9

查看答案和解析>>

科目:初中数学 来源:2016-2017学年云南省曲靖市七年级下学期第一次月考数学试卷(解析版) 题型:填空题

-1的相反数是______, 的平方根__________

查看答案和解析>>

同步练习册答案