精英家教网 > 初中数学 > 题目详情

对于任意有理数,我们规定符号=

例如:=4-6=-2.

(1) 求的值;

(2) 求的值,其中

练习册系列答案
相关习题

科目:初中数学 来源:2017届上海市宝山区九年级第二学期期中考试数学试卷(解析版) 题型:填空题

计算:=________.

查看答案和解析>>

科目:初中数学 来源:2016-2017学年山东省泰安市泰山区六年级(五四制)上学期期末学情检测数学试卷(解析版) 题型:填空题

用同样大小的黑色棋子按如图所示的方式摆图案,按照这样的规律摆下去,第2017个图案需要棋子__________枚。

查看答案和解析>>

科目:初中数学 来源:2016-2017学年山东省泰安市泰山区六年级(五四制)上学期期末学情检测数学试卷(解析版) 题型:单选题

如图所示的几何体,从左面看到的形状图是

A. B. C. D.

查看答案和解析>>

科目:初中数学 来源:2016-2017学年江苏省靖江市七年级下学期期中考试数学试卷(解析版) 题型:解答题

在理解例题的基础上,完成下列两个问题:

例题:若m2+2mn+2n2-6n+9=0.求m和n的值.

【解析】
因为m2+2mn+2n2-6n+9=(m2+2mn+n2)+(n2-6n+9)

=(m+n)2+(n-3)2=0

所以m+n=0,n-3=0即m=-3.n=3

问题(1)若x2+2xy+2y2-4y+4=0,求xy的值.

(2)若a、b、c是△ABC的长,满足a2+b2=10a+8b-41,c是△ABC中最长边的边长,且c为偶数,那么c可能是哪几个数?

查看答案和解析>>

科目:初中数学 来源:2016-2017学年江苏省靖江市七年级下学期期中考试数学试卷(解析版) 题型:填空题

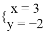
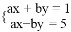
是方程组的解,则+=________

查看答案和解析>>

科目:初中数学 来源:2016-2017学年江苏省靖江市七年级下学期期中考试数学试卷(解析版) 题型:单选题

如图,△ABC的面积为1.第一次操作:分别延长AB,BC,CA至点A1,B1,C1,使A1B=AB,B1C=BC,C1A=CA,顺次连接A1,B1,C1,得到△A1B1C1.第二次操作:分别延长A1B1,B1C1,C1A1至点A2,B2,C2,使A2B1=A1B1,B2C1=B1C1,C2A1=C1A1,顺次连接A2,B2,C2,得到△A2B2C2,…按此规律,要使得到的三角形的面积超过2010,最少经过几次操作 (   )

A. 6 B. 5 C. 4 D. 3

查看答案和解析>>

科目:初中数学 来源:2017届江苏省丹阳市九年级下学期期中考试数学试卷(解析版) 题型:解答题

(1)解方程-= (2)解不等式组:

查看答案和解析>>

科目:初中数学 来源:2016-2017学年江苏省宜兴外国语学校八年级上学期期中考试数学试卷(解析版) 题型:单选题

等腰三角形的周长为13cm,其中一边长为3cm,则该等腰三角形的底边长

为( )

A. 7cm B. 3cm C. 7cm或3cm D. 5cm

查看答案和解析>>

同步练习册答案