精英家教网 > 初中数学 > 题目详情

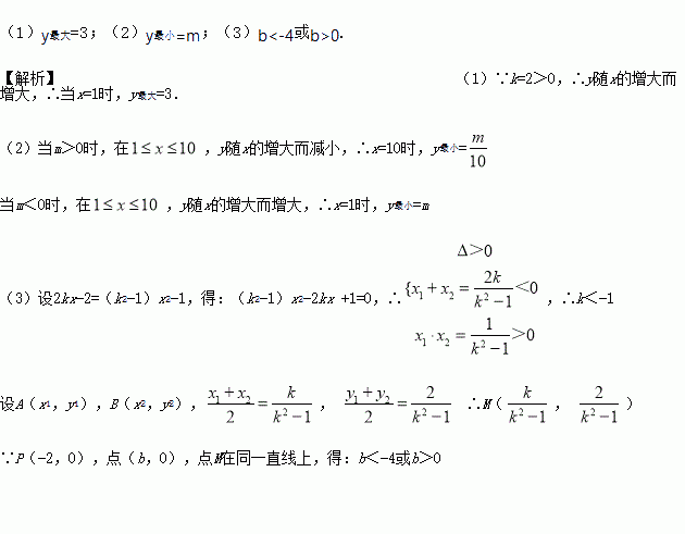
(1)已知函数求函数值的最大值;

(2)已知关于的函数 ,试求时函数值的最小值。

(3)已知直线和抛物线轴左边交于两点,直线过点和线段的中点,求直线轴的交点纵坐标的取值范围。

练习册系列答案
相关习题

科目:初中数学 来源:2016-2017学年浙江省台州市七年级下学期期中考试数学试卷(解析版) 题型:解答题

已知方程组, 王芳看错了方程(1)中的a,得到的方程组的解为,李明看错了方程(2)中的b,得到的方程组的解为, 求原方程组的解.

查看答案和解析>>

科目:初中数学 来源:2017届安徽省中考第一次模试考数学试卷(解析版) 题型:单选题

下图中的几何体的左视图是( )

A. B. C. D.

查看答案和解析>>

科目:初中数学 来源:2017届四川省宜宾县九年级下学期期中考试数学试卷(解析版) 题型:填空题

某商场将一款空调按标价的八折出售,仍可获利10%,若该空调的进价为2000元,则标价为_________元.

查看答案和解析>>

科目:初中数学 来源:2017届四川省宜宾县九年级下学期期中考试数学试卷(解析版) 题型:单选题

如图,直线a、b被直线c所截,若a∥b,∠1=60°,那么∠2的度数为( )

A. 120° B. 90° C. 60° D. 30°

查看答案和解析>>

科目:初中数学 来源:2017届湖南省邵阳县九年级4月月考(第一次联考)数学试卷(解析版) 题型:解答题

先化简,再求值:其中,.

查看答案和解析>>

科目:初中数学 来源:2017届湖南省邵阳县九年级4月月考(第一次联考)数学试卷(解析版) 题型:填空题

分解因式: _________.

查看答案和解析>>

科目:初中数学 来源:2016-2017学年江苏省江阴市华士片七年级下学期期中考试数学试卷(解析版) 题型:解答题

如图,在方格纸内将△ABC经过一次平移后得到△A′B′C′,图中标出了点B的对应点B′.根据下列条件,利用网格点和三角尺画图:

(1)补全△A′B′C′

(2)画出AC边上的中线BD;

(3)画出AC边上的高线BE;

(4)求△ABD的面积

查看答案和解析>>

科目:初中数学 来源:2016-2017学年浙江省杭州市萧山区戴村片七年级下学期期中考试数学试卷(解析版) 题型:单选题

已知是方程mx+3y=5的解,则m的值是 ( )

A. 1 B. C. D. 2

查看答案和解析>>

同步练习册答案