精英家教网 > 初中数学 > 题目详情

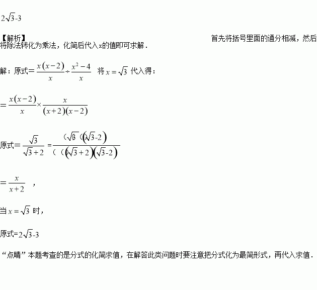
先化简,再求值: ,其中

练习册系列答案
相关习题

科目:初中数学 来源:【全国区级联考】浙江省杭州市萧山区2016-2017学年七年级数学第二学期期中考试卷 题型:填空题

若(x2+px+q)(x-2)展开后不含x的一次项,则p的值是_________

查看答案和解析>>

科目:初中数学 来源:[全国区级联考]江苏省盐城市亭湖区2017届九年级毕业班下学期第二次质量检测数学试卷 题型:解答题

如图,在Rt△ABC中,∠C=90°,AD平分∠CAB,交CB于点D,DE⊥AB于点E.

(1)求证:△ACD≌△AED

(2)若AC=5,△DEB的周长为8,求△ABC的周长

查看答案和解析>>

科目:初中数学 来源:[全国区级联考]江苏省盐城市亭湖区2017届九年级毕业班下学期第二次质量检测数学试卷 题型:单选题

已知方程,则下列说中,正确的是(  )

A. 方程两根之和是1 B. 方程两根之和是1

C. 方程两根之积是2 D. 方程两根之差是1

查看答案和解析>>

科目:初中数学 来源:【全国省级联考】广东省2017年中考数学模拟试卷一 题型:解答题

如图,抛物线y=x2+bx+c过点A(﹣4,﹣3),与y轴交于点B,C,对称轴是x=﹣3,请解答下列问题:

(1)求抛物线的解析式.

(2)求点B的坐标;

(3)过点B作与x轴平行的直线交抛物线交点C,在抛物线的对称轴上的确存在一点P,使PA+PC的值最小,求点P的坐标.

查看答案和解析>>

科目:初中数学 来源:【全国省级联考】广东省2017年中考数学模拟试卷一 题型:填空题

如图,在平行四边形ABCD中,点E是边AD的中点,EC交对角线BD于点F,若,则________.

查看答案和解析>>

科目:初中数学 来源:【全国省级联考】广东省2017年中考数学模拟试卷一 题型:单选题

如图,△ABC的顶点是正方形网格的格点,则sinA的值为(  )

A. B. C. D.

查看答案和解析>>

科目:初中数学 来源:甘肃省兰州市2016-2017学年七年级下学期期中考试数学试卷 题型:单选题

如(x+m)与(x+3)的乘积中不含x的一次项,则m的值为( )

A. ﹣3 B. 3 C. 0 D. 1

查看答案和解析>>

科目:初中数学 来源:甘肃省兰州市2016-2017学年八年级下学期期中考试数学试卷 题型:单选题

如图,函数y=2x和y=ax+4的图象相交于点A(m,3),则不等式2x<ax+4的解集为( )

A. B. x<3 C. D. x>3

查看答案和解析>>

同步练习册答案