精英家教网 > 初中数学 > 题目详情

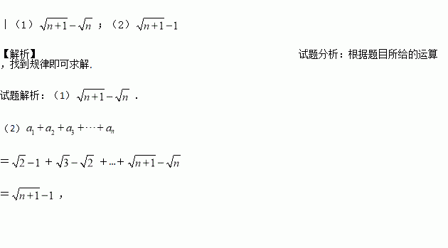
观察下列等式:

第1个等式: ; 第2个等式:

第3个等式: ; 第4个等式:

……

按上述规律,回答以下问题:

(1)请写出第个等式: =________;

(2)求的值.

练习册系列答案
相关习题

科目:初中数学 来源:2017届广东省高州市九年级上学期期中考试数学试卷(A卷)(解析版) 题型:解答题

解方程 3x2- 5x = 2

查看答案和解析>>

科目:初中数学 来源:2017届山东省菏泽市九年级3月月考数学试卷(解析版) 题型:单选题

地球绕太阳每小时转动经过的路程约为110 000米,将110 000用科学记数法表示为( )

A. 11×104 B. 0.11×107

C. 1.1×106 D. 1.1×105

查看答案和解析>>

科目:初中数学 来源:2016届浙江省温州市九年级下学期第一次适应试考试数学试卷(解析版) 题型:单选题

随着服装市场竞争日益激烈,某品牌服装专卖店一款服装按原售价降价a元后,再次打7折,现售价为b元,则原售价为( )

A. B. C. D.

查看答案和解析>>

科目:初中数学 来源:2016届浙江省温州市九年级下学期第一次适应试考试数学试卷(解析版) 题型:单选题

由5个完全相同的小正方体组成的几何体如图所示.则这个几何体的主视图是(  )

A. B. C. D.

查看答案和解析>>

科目:初中数学 来源:2016-2017学年山东省临沂市蒙阴县八年级下学期期中考试数学试卷(解析版) 题型:填空题

计算的结果是____________.

查看答案和解析>>

科目:初中数学 来源:2016-2017学年山东省临沂市蒙阴县八年级下学期期中考试数学试卷(解析版) 题型:单选题

平面直角坐标系中,已知□ABCD的三个顶点坐标分别是A(m,n),B ( 2,-l ),C(-m,-n),则点D的坐标是( )

A. (-2 ,l ) B. (-2,-l ) C. (-1,-2 ) D .(-1,2 )

查看答案和解析>>

科目:初中数学 来源:2017届湖北省武汉市中考模拟数学试卷(解析版) 题型:填空题

在平面直角坐标系中,直线y=x和直线与x轴分别交于A、B,与y轴交于C点,点E沿着某条路径运动,以点E为旋转中心,将点C(0,1)逆时针方向旋转90°,刚好落在线AB上,则点E的运动路径长为___________

查看答案和解析>>

科目:初中数学 来源:2017届浙江省台州市淑江区九年级上学期期末考试数学试卷(解析版) 题型:单选题

如图,⊙P的半径为5,A、B是圆上任意两点,且AB=6,以AB为边作正方形ABCD(点D、P在直线AB两侧).若AB边绕点P旋转一周,则CD边扫过的面积为( )

A. 3π

B. 6π

C. 9π

D. 12π

查看答案和解析>>

同步练习册答案