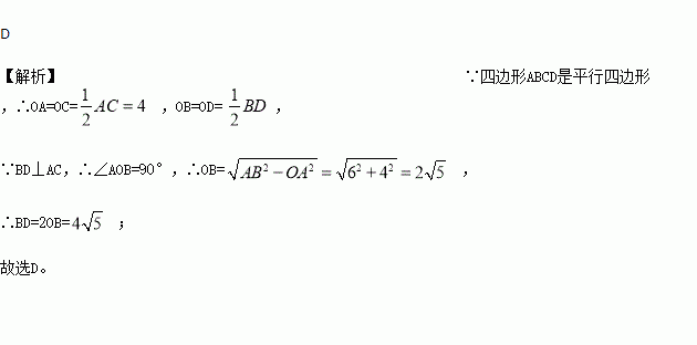
精英家教网 > 初中数学 > 题目详情

已知平行四边形ABCD的对角钱AC与BD相交于点O,BD⊥AC,若AB=6,AC=8,则对角线BD的长是(  )

A. 2 B. 2 C. 4 D. 4

练习册系列答案
相关习题

科目:初中数学 来源:2016-2017学年浙江省海宁市八年级下学期第一次月考数学试卷(解析版) 题型:单选题

三角形的两边长为2和4,第三边长是方程x2﹣6x+8=0的根,则这个三角形的周长是(  )

A. 8 B. 10 C. 8或10 D. 不能确定

查看答案和解析>>

科目:初中数学 来源:2016-2017学年江西省抚州市八年级下学期期中考试数学试卷(解析版) 题型:填空题

若实数x,y满足,则以x,y的值为边长的等腰三角形的周长为________.

查看答案和解析>>

科目:初中数学 来源:2016-2017学年浙江省杭州市大江东八年级下学期期中考试数学试卷(解析版) 题型:解答题

解方程

(1)3x2﹣7x=0

(2)(x﹣2)(2x﹣3)=2(x﹣2)

查看答案和解析>>

科目:初中数学 来源:2016-2017学年浙江省杭州市大江东八年级下学期期中考试数学试卷(解析版) 题型:填空题

当a=-3时,二次根式的值是_______.

查看答案和解析>>

科目:初中数学 来源:2016-2017学年浙江省杭州市大江东八年级下学期期中考试数学试卷(解析版) 题型:单选题

若二次根式有意义,则x的取值范围是【 】

A. x>1 B. x≥1 C. x<1 D. x≤1

查看答案和解析>>

科目:初中数学 来源:2016-2017学年江苏省扬州市江都区邵樊片七年级下学期期中考试数学试卷(解析版) 题型:解答题

画图并填空:

如图,△ABC的顶点都在方格纸的格点上,将△ABC向下平移2倍,再向右平移3格.

(1)请在图中画出平移后的△A′B′C′;

(2)在图中画出△的A′B′C′的高C′D′(标出点D′的位置);

(3)如果每个小正方形边长为1,则△A′B′C′的面积=   .(答案直接填在题中横线上)

查看答案和解析>>

科目:初中数学 来源:2016-2017学年江苏省扬州市江都区邵樊片七年级下学期期中考试数学试卷(解析版) 题型:单选题

下列各式从左到右的变形,是因式分解的是(  )

A. x2﹣9+6x=(x+3)(x﹣3)+6x B. (x+5)(x﹣2)=x2+3x﹣10

C. x2﹣8x+16=(x﹣4)2 D. 6ab=2a•3b

查看答案和解析>>

科目:初中数学 来源:2017届河北省中考模拟数学试卷(四)(解析版) 题型:填空题

计算:2×(﹣)=__.

查看答案和解析>>

同步练习册答案