精英家教网 > 初中数学 > 题目详情
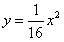
桂林红桥位于桃花江上,是桂林两江四湖的一道亮丽的风景线,该桥的部分横截面如图所示,上方可看作是一个经过A、C、B三点的抛物线,以桥面的水平线为x轴,经过抛物线的顶点C与x轴垂直的直线为y轴,建立直角坐标系,已知此桥垂直于桥面的相邻两柱之间距离为2米(图中用线段AD、CO、BE等表示桥柱)CO=1米,FG=2米,
(1)求经过A、B、C三点的抛物线的解析式;
(2)求柱子AD的高度。

解:(1)设所求抛物线解析式为,其中顶点为(0,1),

把F(-4,2)代入,得
+1;
(2)当x=-8时,y=5,即AD=5。
练习册系列答案
相关习题

科目:初中数学 来源: 题型:

桂林红桥位于桃花江上,是桂林两江四湖的一道亮丽的风景线,该桥的部分横截面如图所示,上方可看作是一个经过A、C、B三点的抛物线,以桥面的水平线为x轴,经过抛物线的顶点C与x轴垂直的直线为y轴,建立直角坐标系,已知此桥垂直于桥面的相邻两柱之间距离为2米(图中用线段AD、CO、BE等表示桥柱)CO=1米,FG=2米.
(1)求经过A、B、C三点的抛物线的解析式.
(2)求柱子AD的高度.
精英家教网

查看答案和解析>>

科目:初中数学 来源: 题型:

(10分)桂林红桥位于桃花江上,是桂林两江四湖的一道亮丽的风景线,该桥的部分横截面如图所示,上方可看作是一个经过A、C、B三点的抛物线,以桥面的水平线为X轴,经过抛物线的顶点C与X轴垂直的直线为Y轴,建立直角坐标系,已知此桥垂直于桥面的相邻两柱之间距离为2米(图中用线段AD、CO、BE等表示桥柱)CO=1米,FG=2米

(1)  求经过A、B、C三点的抛物线的解析式。

(2)  求柱子AD的高度。

 

 

 

 

 

查看答案和解析>>

科目:初中数学 来源: 题型:

(10分)桂林红桥位于桃花江上,是桂林两江四湖的一道亮丽的风景线,该桥的部分横截面如图所示,上方可看作是一个经过A、C、B三点的抛物线,以桥面的水平线为X轴,经过抛物线的顶点C与X轴垂直的直线为Y轴,建立直角坐标系,已知此桥垂直于桥面的相邻两柱之间距离为2米(图中用线段AD、CO、BE等表示桥柱)CO=1米,FG=2米

(1) 求经过A、B、C三点的抛物线的解析式。
(2) 求柱子AD的高度。

查看答案和解析>>

科目:初中数学 来源:第2章《二次函数》中考题集(20):2.6 何时获得最大利润(解析版) 题型:解答题

桂林红桥位于桃花江上,是桂林两江四湖的一道亮丽的风景线,该桥的部分横截面如图所示,上方可看作是一个经过A、C、B三点的抛物线,以桥面的水平线为x轴,经过抛物线的顶点C与x轴垂直的直线为y轴,建立直角坐标系,已知此桥垂直于桥面的相邻两柱之间距离为2米(图中用线段AD、CO、BE等表示桥柱)CO=1米,FG=2米.
(1)求经过A、B、C三点的抛物线的解析式.
(2)求柱子AD的高度.

查看答案和解析>>

科目:初中数学 来源:2011年3月云南省楚雄州牟定县茅阳中学九年级(下)月考数学试卷(解析版) 题型:解答题

桂林红桥位于桃花江上,是桂林两江四湖的一道亮丽的风景线,该桥的部分横截面如图所示,上方可看作是一个经过A、C、B三点的抛物线,以桥面的水平线为x轴,经过抛物线的顶点C与x轴垂直的直线为y轴,建立直角坐标系,已知此桥垂直于桥面的相邻两柱之间距离为2米(图中用线段AD、CO、BE等表示桥柱)CO=1米,FG=2米.
(1)求经过A、B、C三点的抛物线的解析式.
(2)求柱子AD的高度.

查看答案和解析>>

同步练习册答案