精英家教网 > 初中数学 > 题目详情

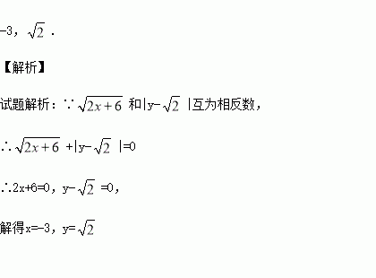
已知和|y-|互为相反数,则x=____,y=__

练习册系列答案
相关习题

科目:初中数学 来源:2015-2016学年安徽省八年级下第一次月考数学卷(解析版) 题型:填空题

若m是方程的解,则的值为 .

查看答案和解析>>

科目:初中数学 来源:2015-2016学年山东省文慧学校七年级下第一次月考数学试卷(解析版) 题型:解答题

(1)(2)

查看答案和解析>>

科目:初中数学 来源:2015-2016学年山东省文慧学校七年级下第一次月考数学试卷(解析版) 题型:选择题

已知∠α的补角为125°12′,则它的余角为( )

A. 35°12′ B.35°48′ C.55°12′ D.55°48′

查看答案和解析>>

科目:初中数学 来源:2015-2016学年山东省七年级下第一次月考数学试卷(解析版) 题型:解答题

已知一个正数x的平方根是2a-3与5-a,.求a和x的值

查看答案和解析>>

科目:初中数学 来源:2015-2016学年山东省七年级下第一次月考数学试卷(解析版) 题型:填空题

如图,已知______

查看答案和解析>>

科目:初中数学 来源:2015-2016学年山东省七年级下第一次月考数学试卷(解析版) 题型:选择题

如图,小明从A处出发沿北偏东60°方向行走至B处,又沿北偏西方向行走至C处,此时需把方向调整到与出发时一致,则方向的调整应是()

A.右转80° B.左转80° C.右转100° D.左转100°

查看答案和解析>>

科目:初中数学 来源:2016届辽宁省营口市九年级中考模拟考试一数学试卷(解析版) 题型:填空题

如图,点D、E分别在AB、BC上,DE‖AC,AF‖BC,∠1=70°,则∠2= °.

查看答案和解析>>

科目:初中数学 来源:2016届江苏省扬州市宝应县九年级下学期第一次网上阅卷测试数学试卷(解析版) 题型:选择题

的值是

A. 1 B.-1 C.2016 D.-2016

查看答案和解析>>

同步练习册答案