精英家教网 > 初中数学 > 题目详情

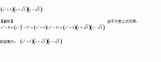
在实数范围内因式分【解析】
x4-9=________。

练习册系列答案
相关习题

科目:初中数学 来源:2017届辽宁省盘锦市九年级下学期期初考试数学试卷(解析版) 题型:单选题

-的绝对值是( )

A. - B. C. 3 D. -3

查看答案和解析>>

科目:初中数学 来源:2017届甘肃省九年级下学期期中考试数学试卷(解析版) 题型:填空题

如图是二次函数y=图像的一部分 .其对称轴为x=-1,且过点(-3,0).下列说法:(1)abc<0;(2)2a-b=0;(3)4a+2b+c=0;(4)若(-5,),()是抛物线上两点,则。其中说法正确的是__________(填序号)

查看答案和解析>>

科目:初中数学 来源:2017届浙江省杭州市淳安县九年级下学期期中(中考模拟)考试数学试卷(解析版) 题型:解答题

如图边长为1的正方形ABCD被两条与边平行的线段EF、GH分割为四个小矩形,EF与GH交于点P

(1)若AG=AE,证明:AF=AH;

(2)若矩形PFCH的面积,恰矩形AGPE面积的两倍,试确定HAF的大小;

(3)若矩形EPHD的面积为,求RtGBF的周长.

查看答案和解析>>

科目:初中数学 来源:2017届浙江省杭州市淳安县九年级下学期期中(中考模拟)考试数学试卷(解析版) 题型:填空题

四边形OBCD中的三个顶点在⊙O上,点A是⊙O上的一个动点(不与点B、C、D重合)。若四边形OBCD是平行四边形时,那么的数量关系是________________.

查看答案和解析>>

科目:初中数学 来源:2017届浙江省杭州市淳安县九年级下学期期中(中考模拟)考试数学试卷(解析版) 题型:单选题

下列命题中是真命题的是( )

A. <span style="color: rgb(169, 68, 66); font-size: 12px; line-height: 17.1429px; background-color: rgb(245, 245, 245);">经过直线外一点,有且只有一条直线与已知直线垂直</span>

B. 平分弦的直径垂直于弦。

C. 对角线互相平分且垂直的四边形是菱形 。

D. 反比例函数,当k<0时,y随x的增大而增大。

查看答案和解析>>

科目:初中数学 来源:2016-2017学年江苏省苏州市高新区八年级下学期期中测试数学试卷(解析版) 题型:解答题

已知:直线l1与直线l2平行,且它们之间的距离为2,A、B是直线l1上的两个定点,C、D是直线l2上的两个动点(点C在点D的左侧),AB=CD=5,连接AC、BD、BC,将△ABC沿BC折叠得到△A1BC.

(1)求四边形ABDC的面积.

(2)当A1与D重合时,四边形ABDC是什么特殊四边形,为什么?

(3)当A1与D不重合时:①连接A1、D,求证:A1D∥BC;②若以A1,B,C,D为顶点的四边形为矩形,且矩形的边长分别为a,b,求(a+b)2的值.

查看答案和解析>>

科目:初中数学 来源:2016-2017学年江苏省苏州市高新区八年级下学期期中测试数学试卷(解析版) 题型:选择题

(2分)如图,矩形ABCD的对角线BD经过坐标原点,矩形的边分别平行于坐标轴,点C在反比例函数y=﹣的图象上,若点A的坐标为(﹣2,﹣2),则k的值为()

A.4 B.﹣4 C.8 D.﹣8

查看答案和解析>>

科目:初中数学 来源:2017届浙江省嵊州市数学试卷《考前磨刀(一)》(解析版) 题型:解答题

解方程:x²-2x-3=0

查看答案和解析>>

同步练习册答案