精英家教网 > 初中数学 > 题目详情

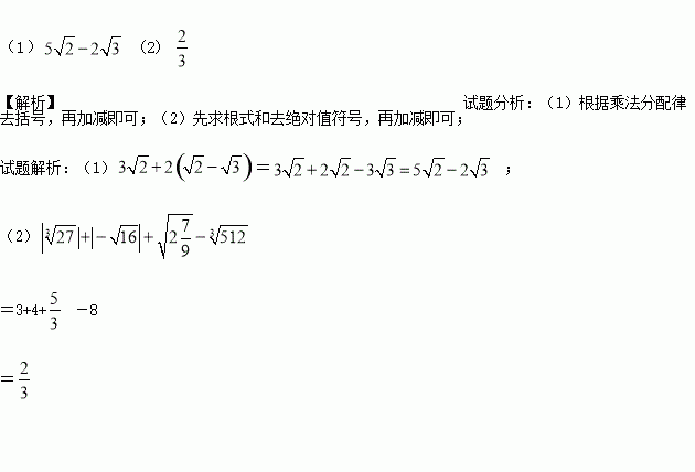
计算:(1) (2)

练习册系列答案
相关习题

科目:初中数学 来源:2016-2017学年湖北省孝感市七年级3月月考数学试卷(解析版) 题型:填空题

如图,下列条件中:①∠B+∠BCD=180°;②∠1=∠2;③∠3=∠4;④∠B=∠5;则一定能判定AB∥CD的条件有____________(填写所有正确的序号).

查看答案和解析>>

科目:初中数学 来源:2016-2017学年湖南省心学校七年级(下)期中教学质量检测模拟数学试卷(解析版) 题型:解答题

某商店需要购进甲、乙两种商品共160件,其进价和售价如下表:(注:获利=售价-进价)

(1)若商店计划销售完这批商品后能获利1 100元,请问甲、乙两种商品应分别购进多少件?

(2)若商店计划投入资金少于4300元,且销售完这批商品后获利多于1260元,请问有哪几种购货方案?并指出获利最大的购货方案.

查看答案和解析>>

科目:初中数学 来源:2016-2017学年湖南省心学校七年级(下)期中教学质量检测模拟数学试卷(解析版) 题型:选择题

如图,在△ABC 中,∠C=90°.若BD∥AE,∠DBC=20°,则∠CAE的度数是 ( )

A.40° B.60° C.70° D.80°

查看答案和解析>>

科目:初中数学 来源:2016-2017学年江苏省七年级下学期第一次阶段性检测数学试卷(解析版) 题型:解答题

如图1,已知MN∥PQ,B在MN上,C在PQ上,A在B的左侧,D在C的右侧,DE平分∠ADC,BE平分∠ABC,直线DE、BE交于点E,∠CBN=100°.

(1)若∠ADQ=130°,求∠BED的度数;

(2)将线段AD沿DC方向平移,使得点D在点C的左侧,其他条件不变,若∠ADQ=n°,求∠BED的度数(用含n的代数式表示).

查看答案和解析>>

科目:初中数学 来源:2016-2017学年江苏省七年级下学期第一次阶段性检测数学试卷(解析版) 题型:填空题

若一个角的补角是这个角的余角的3倍,则这个角为_________度.

查看答案和解析>>

科目:初中数学 来源:2016-2017学年江苏省七年级下学期第一次阶段性检测数学试卷(解析版) 题型:填空题

_________分数.(填“是”或“不是”)

查看答案和解析>>

科目:初中数学 来源:2016-2017学年湖北黄石江北中学七年级(下)期中模拟数学试卷(解析版) 题型:填空题

如图,直线AB、CD交于点O,EO⊥AB,垂足为O,∠EOC=35°,则∠AOD=______度.

查看答案和解析>>

科目:初中数学 来源:2017届浙江省宁波市鄞州区九年级4月学业模拟数学试卷(解析版) 题型:解答题

在3×3的方格纸中,点A,B,C,D,E分别位于如图所示的小正方形格点上.

(1)在点A,B,C,D,E中任取四个点为顶点直接在图上画一个中心对称的四边形;

(2)从A,B,C三个点中先任取一个点,在余下的两个点中再取一个点,将所取的这两点与点D,E为顶点构成四边形,求所得四边形中面积为2的概率(用树状图或列表法求解).

查看答案和解析>>

同步练习册答案