精英家教网 > 初中数学 > 题目详情
如图,第1个图形是一个点,第2个图形是排成形如三角形的三个点,按三角形每条边上的点的个数依次多1,从左到右排列…,请回答下列问题
(1)第5个图形中点的个数是多少?
(2)第n个图形中点的个数是多少?(用含n的代数式表示)
(3)由120个点组成的图形是左起第几个图?
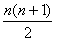
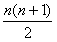
解:(1)第5个图形中的点有15个; 
       (2)第n个图形中的点有个; 
       (3)依题意得=120
                解得:(舍去) 
答:由120个点组成的图形是左起第15个图
练习册系列答案
相关习题

科目:初中数学 来源: 题型:

如图是由牙签拼出的一组图:

第n个图形由n个正方形组成,通过观察可以发现:
(1)第4个图形牙签的根数是
13
13

(2)第n个图形牙签的根数是
3n+1
3n+1

查看答案和解析>>

科目:初中数学 来源:新课标读想练 七年级数学(下) 人教版 题型:022

由四根火柴棒拼一正方形,如图所示的两列图形,可看做是一个正方形经过平移得到的.第n个图形是由n个正方形组成,通过观察可以发现第n个图形中火柴棒的根数S是________.

查看答案和解析>>

科目:初中数学 来源:新课标读想练八年级数学(上) 题型:022

由四根火柴棒拼一正方形,如图所示的两列图形,可看做是一个正方形经过平移得到的.第n个图形是由n个正方形组成,通过观察可以发现第n个图形中火柴棒的根数S是________.

查看答案和解析>>

科目:初中数学 来源:湖南省株洲市2011年初中毕业学业考试数学试题 题型:022

如图,第(1)个图有1个黑球;第(2)个图为3个同样大小球叠成的图形,最下一层的2个球为黑色,其余为白色;第(3)个图为6个同样大小球叠成的图形,最下一层的3个球为黑色,其余为白色;…;则从第(n)个图中随机取出一个球,是黑球的概率是_________.

查看答案和解析>>

科目:初中数学 来源: 题型:解答题

如图是由牙签拼出的一组图:

第n个图形由n个正方形组成,通过观察可以发现:
(1)第4个图形牙签的根数是________
(2)第n个图形牙签的根数是________.

查看答案和解析>>

同步练习册答案