精英家教网 > 初中数学 > 题目详情

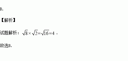
计算的结果是( )

A. B.4 C. D.2

练习册系列答案
相关习题

科目:初中数学 来源:2015-2016学年广东普宁华侨管理区中学七年级下第一次段考数学卷(解析版) 题型:解答题

如图,直线AB,CD分别与直线AC相交于点A,C,与直线BD相交于点B,D.若∠1=∠2,∠3=75°,求∠4、∠5的度数。

查看答案和解析>>

科目:初中数学 来源:2015-2016学年甘肃省八年级下学期第一次月考数学试卷(解析版) 题型:选择题

等腰三角形的两边分别等于5、12,则它的周长为 ( )

A.29 B.22 C.22或29 D.17

查看答案和解析>>

科目:初中数学 来源:2015-2016学年甘肃定西安定区公园路中学八年级下第一次月考数学卷(解析版) 题型:填空题

若一个长方体的长为cm,宽为cm,高为cm,则它的体积为 cm3.

查看答案和解析>>

科目:初中数学 来源:2015-2016学年甘肃定西安定区公园路中学八年级下第一次月考数学卷(解析版) 题型:选择题

下列根式中,不能与合并的是( )

A. B. C. D.

查看答案和解析>>

科目:初中数学 来源:2016届江苏省盐城市东台市一教九年级下学期第一次月考数学试卷(解析版) 题型:解答题

某商场销售一批品牌衬衫,平均每天可售出20件,每件盈利40元,为了扩大销售,增加盈利,尽快减少库存,商场决定采取适当的降价措施,经调查发现,如果每件衬衫每降价1元,商场平均每天可多售出2件.

(1)如果每件衬衣降价x元,每天可以销售y件,求y与x的函数关系式;

(2)若商场平均每天要盈利1200元,每件衬衫应降价多少元?

(3)每件衬衫降价多少元时,商场平均每天盈利最多?

查看答案和解析>>

科目:初中数学 来源:2016届江苏省盐城市东台市一教九年级下学期第一次月考数学试卷(解析版) 题型:填空题

如图,AB为⊙O的直径,∠E=20°,∠DBC=50°,则∠CBE= °.

查看答案和解析>>

科目:初中数学 来源:2015-2016学年湖南省八年级下第一次月考数学试卷(解析版) 题型:解答题

如图,在平面直角坐标系中,点O是坐标原点,四边形ABCO是菱形,点A的坐标为(-3,4),点C在x轴的正半轴上,直线AC交y轴于点M,AB边交y轴于点H,连接BM.

(1)求直线AC的解析式;

(2)动点P从点A出发,沿折线ABC的方向以2个单位/秒的速度向终点C匀速运动,设△PMB的面积为S,点P的运动时间为t秒,求S与t之间的函数关系式(要求写出自变量t的取值范围);

(3)动点P从点A出发,沿线段AB方向以2个单位/秒的速度向终点B匀速运动,当∠MPB与∠BCO互为余角时,试确定t的值.

查看答案和解析>>

科目:初中数学 来源:2016届云南省九年级下学期第一次月考数学试卷(解析版) 题型:填空题

计算:|﹣3|﹣tan260°+(2015﹣sin45°)0=

查看答案和解析>>

同步练习册答案