精英家教网 > 初中数学 > 题目详情

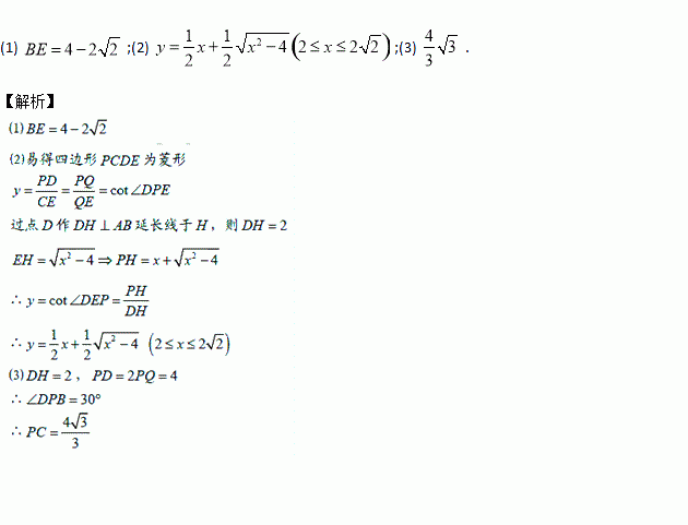
已知:如图,线段AB=4,以AB为直径作半圆O,点C为弧AB的中点,点P为直径AB上一点,连接PC,过点C作CD∥AB,且CD=PC,过点D作DE∥PC,交射线PB于点E,PD与CE相交于点Q.

(1)若点P和点A重合,求BE的长;

(2)设,当点P在线段AO上时,求y与x的函数关系式及定义域;

(3)当点Q在半圆O上时,求PC的长.

练习册系列答案
相关习题

科目:初中数学 来源:2016-2017学年江苏省扬州市邗江区八年级下学期期中考试数学试卷(解析版) 题型:解答题

一只不透明的袋子中有2个红球,3个绿球和5个白球,每个球除颜色外都相同,将球搅匀,从中任意摸出一个球.

(1)会有哪些可能的结果?

(2)任意摸一个球是绿球的概率是多少?

查看答案和解析>>

科目:初中数学 来源:2017届河南省九年级下学期第二次模拟考试数学试卷(解析版) 题型:单选题

解集在数轴上表示为如图所示的不等式组是( )

A. B. C. D.

查看答案和解析>>

科目:初中数学 来源:2017届山东省临沂市蒙阴县九年级第一轮模拟考试数学试卷(解析版) 题型:单选题

如图,在平面直角坐标系中,四边形ABCD是菱形,∠ABC=60°,且点A的坐标为(4,0),若E是AD的中点,则点E的坐标为( )

A. (-2,2) B. (2,-4) C. (-2,4) D. (2,-2

查看答案和解析>>

科目:初中数学 来源:2017届山东省临沂市蒙阴县九年级第一轮模拟考试数学试卷(解析版) 题型:单选题

如图,由五个同样大小的立方体组成的几何体,则关于此几何体三种视图叙述正确的是( )

A. 左视图与俯视图相同 B. 三种视图都相同

C. 主视图与俯视图相同 D. 左视图与主视图相同

查看答案和解析>>

科目:初中数学 来源:2017届上海市奉贤区九年级4月调研测试(二模)数学试卷(解析版) 题型:解答题

解不等式组 ,将其解集在数轴上表示出来,并写出这个不等式组的整数解.

查看答案和解析>>

科目:初中数学 来源:2017届上海市奉贤区九年级4月调研测试(二模)数学试卷(解析版) 题型:填空题

学校组织“中华经典诗词大赛”,共设有20个试题,其中有关“诗句理解”的试题10个,有关“诗句作者”的试题6个,有关“试卷默写”的试题4个.小杰从中任选一个试题作答,他选中有关“诗句作者”的试题的概率是_______________ ;

查看答案和解析>>

科目:初中数学 来源:2017届江苏省江阴市华士片九年级下学期期中考试数学试卷(解析版) 题型:解答题

如图,一艘巡逻艇航行至海面B处时,得知正北方向上距B处20海里的C处有一渔船发生故障,就立即指挥港口A处的救援艇前往C处营救.已知C处位于A处的北偏东45°的方向上,港口A位于B的北偏西30°的方向上.求A、C之间的距离.(结果精确到0.1海里,参考数据≈1.41,≈1.73)

查看答案和解析>>

科目:初中数学 来源:2016-2017学年浙江省海宁市八年级下学期第一次月考数学试卷(解析版) 题型:单选题

在平行四边形ABCD中,点A1,A2,A3,A4和C1,C2,C3,C4分别AB和CD的五等分点,点B1,B2和D1,D2分别是BC和DA的三等分点,已知四边形A4B2C4D2的面积为1,则平行四边形ABCD面积为(  )

A. 2 B. C. D. 15

查看答案和解析>>

同步练习册答案