精英家教网 > 初中数学 > 题目详情

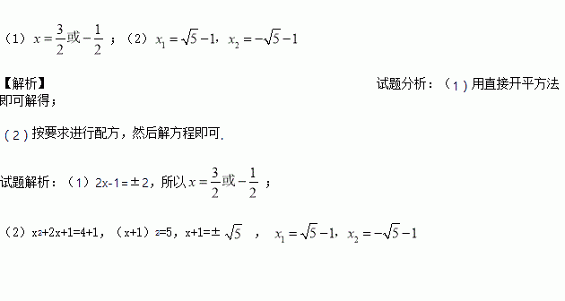
解方程:(1) (2x-1)2=4

(2)x2+2x=4.(用配方法)

练习册系列答案
相关习题

科目:初中数学 来源:[首发]江西省高安市2016-2017学年八年级下学期期中考试数学试卷 题型:填空题

如图,每个小正方形的边长为1,在△ABC中,点D为AB的中点,则线段CD的长为____________.

查看答案和解析>>

科目:初中数学 来源:[首发]广东省东莞市堂星晨学校2017届考考前模拟(一)数学试卷 题型:解答题

为落实国务院房地产调控政策,使“居者有其屋”,某市加快了廉租房的建设力度.2014年市政府共投资2亿元人民币建设了廉租房8万平方米,预计到2016年底三年共累计投资9.5亿元人民币建设廉租房.若在这两年内每年投资的增长率相同.

(1)求每年市政府投资的增长率;

(2)若这两年内的建设成本不变,求到2016年底共建设了多少万平方米的廉租房?

查看答案和解析>>

科目:初中数学 来源:[首发]广东省东莞市堂星晨学校2017届考考前模拟(一)数学试卷 题型:单选题

将如图所示的图形绕虚线旋转一周,所成的几何体是(  )

A. B. C. D.

查看答案和解析>>

科目:初中数学 来源:[中学联盟]江苏省盐城市射阳县实验初级中学2016-2017学年八年级下学期第二次月考数学试卷 题型:解答题

某商场经营某种品牌的玩具,购进时的单价是30元,根据市场调查:在一段时间内,销售单价是40元时,销售量是600件,而销售单价每涨1元,就会少售出10件玩具.

(1)不妨设该种品牌玩具的销售单价为x元(x>40),请你分别用x的代数式来表示销售量y件和销售该品牌玩具获得利润w元;

(2)在(1)问条件下,若商场获得了10000元销售利润,求该玩具销售单价x应为多少元.

查看答案和解析>>

科目:初中数学 来源:[中学联盟]江苏省盐城市射阳县实验初级中学2016-2017学年八年级下学期第二次月考数学试卷 题型:填空题

是方程的一个根,则m=____________.

查看答案和解析>>

科目:初中数学 来源:[中学联盟]江苏省盐城市射阳县实验初级中学2016-2017学年八年级下学期第二次月考数学试卷 题型:单选题

如图所示,在平面直角坐标系中,半径均为1个单位长度的半圆O1,O2,O3,… 组成一条平滑的曲线,点P从原点O出发,沿这条曲线向右运动,速度为每秒个单位长度,则第2017秒时,点P的坐标是( )

A. (2016,0) B. (2017,-1) C. (2015,-1) D. (2017,1)

查看答案和解析>>

科目:初中数学 来源:山东省淄博市张店区2017届中考一模数学试卷 题型:填空题

若式子在实数范围内有意义,则x的取值范围是____________.

查看答案和解析>>

科目:初中数学 来源:[首发]江苏省无锡市长泾片2017届九年级下学期第二次模拟考试数学试卷 题型:解答题

某校举行全体学生“汉字听写”比赛,每位学生听写汉字39个.随机抽取了部分学生的听写结果,绘制成如下的图表.

根据以上信息完成下列问题:

(1)统计表中的m= ,n= ,并补全条形统计图;

(2)扇形统计图中“C组”所对应的圆心角的度数是

(3)已知该校共有900名学生,如果听写正确的字的个数少于24个定为不合格,请你估计该校本次听写比赛不合格的学生人数.

查看答案和解析>>

同步练习册答案