精英家教网 > 初中数学 > 题目详情

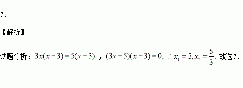
方程的根是:

A、 B、3 C、和3 D、和-3

练习册系列答案
相关习题

科目:初中数学 来源:2016届山东省九年级上学期第二次月考数学试卷(解析版) 题型:选择题

关于的一元二次方程,没有实数根,则实数的取值范围是( )

A. B. C. D.

查看答案和解析>>

科目:初中数学 来源:2016届河北省九年级上学期第三次月考数学试卷(解析版) 题型:选择题

如图,在平面直角坐标系中,抛物线y=经过平移得到抛物线y=,其对称轴与两段抛物线所围成的阴影部分的面积为( )

A.2 B.4 C.8 D.16

查看答案和解析>>

科目:初中数学 来源:2016届广东省肇庆市端州区西区九年级上学期期末考试数学试卷(解析版) 题型:解答题

如图,在平面直角坐标系中,△ABC的三个顶点A,B,C的坐标分别为(2,4),(1,1),(3,-1).

(1)将△ABC绕点P(-1,-1)旋转180°,画出旋转后的图形△A1B1C1;

(2)写出△A1B1C1的三个顶点的坐标.

查看答案和解析>>

科目:初中数学 来源:2016届广东省肇庆市端州区西区九年级上学期期末考试数学试卷(解析版) 题型:填空题

把二次函数y=3x2的图象向左平移2个单位,再向上平移1个单位,所得到的图象对应的二次函数表达式是

查看答案和解析>>

科目:初中数学 来源:2016届广东省肇庆市端州区西区九年级上学期期末考试数学试卷(解析版) 题型:选择题

平面直角坐标系内一点P(-2,3)关于原点对称的点的坐标是:

A、(3,-2) B、(2,3) C、(-2,-3) D、(2,-3)

查看答案和解析>>

科目:初中数学 来源:2015-2016学年江苏省无锡市新区八年级上学期期末考试数学试卷(解析版) 题型:解答题

如图,将矩形纸片ABCD沿对角线BD折叠,使点A落在平面上的F点处,DF交BC于点E.

(1)求证:△DCE≌△BFE;

(2)若, DB=2,求BE的长.

查看答案和解析>>

科目:初中数学 来源:2015-2016学年江苏省无锡市新区八年级上学期期末考试数学试卷(解析版) 题型:选择题

已知点P在第四象限,且到x轴的距离为2,则点P的坐标为( )

A.(4,-2) B.(-4,2) C.(-2,4) D.(2,-4)

查看答案和解析>>

科目:初中数学 来源:2015-2016学年甘肃省敦煌市八年级上学期期末数学试卷(解析版) 题型:填空题

某地连续九天的最高气温统计如下表:

最高气温(℃)

22

23

24

25

天数

1

2

2

4

则这组数据的中位数是 ,众数是

查看答案和解析>>

同步练习册答案