精英家教网 > 初中数学 > 题目详情

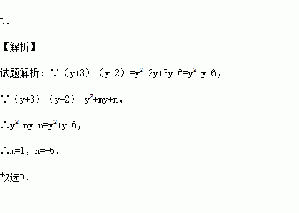
,则的值分别为( )

A.5,6 B.5,-6 C.1,6 D.1,-6

练习册系列答案
相关习题

科目:初中数学 来源:2016届江苏省徐州市九年级下学期第一次质检数学试卷(解析版) 题型:选择题

-2的相反数是( )

A.2 B.-2 C. D.-

查看答案和解析>>

科目:初中数学 来源:2016届安徽省毕业班五校第四次联考数学试卷(解析版) 题型:选择题

某商场将一件玩具按进价提高60%后标价,销售时按标价打折销售,结果相对于进价仍获利20%,则这件玩具销售时打的折扣是( )

A.8折 B.7.5折 C.6折 D.3.3折

查看答案和解析>>

科目:初中数学 来源:2015-2016学年广东普宁华侨管理区中学七年级下第一次段考数学卷(解析版) 题型:填空题

把一张长方形纸片ABCD沿EF折叠后ED与BC的交点为G,D、C分别在M 、N的位置上,若∠EFG=52°,则∠2=___ ____。

查看答案和解析>>

科目:初中数学 来源:2015-2016学年广东普宁华侨管理区中学七年级下第一次段考数学卷(解析版) 题型:选择题

下列各式的计算中不正确的个数是( ).

①100÷10-1=10 ② ③(a-b)2=a2-b2 ④

A.4 B.3 C.2 D.1

查看答案和解析>>

科目:初中数学 来源:2015-2016学年甘肃省八年级下学期第一次月考数学试卷(解析版) 题型:解答题

解不等式组,并将解集在数轴上表示出来.

查看答案和解析>>

科目:初中数学 来源:2015-2016学年甘肃省八年级下学期第一次月考数学试卷(解析版) 题型:填空题

若点P在线段AB的垂直平分线上,PA=5,则PB=

查看答案和解析>>

科目:初中数学 来源:2015-2016学年甘肃定西安定区公园路中学八年级下第一次月考数学卷(解析版) 题型:解答题

从旗杆的顶端系一条绳子,垂到地面还多2米,小敏拉起绳子下端绷紧,刚好接触地面,发现绳子下端距离旗杆底部8米,小敏马上计算出旗杆的高度,你知道她是如何解的吗?

查看答案和解析>>

科目:初中数学 来源:2016届江苏省盐城市东台市一教九年级下学期第一次月考数学试卷(解析版) 题型:填空题

若扇形半径为6cm,面积为9πcm2,则该扇形的弧长为 cm.

查看答案和解析>>

同步练习册答案