精英家教网 > 初中数学 > 题目详情

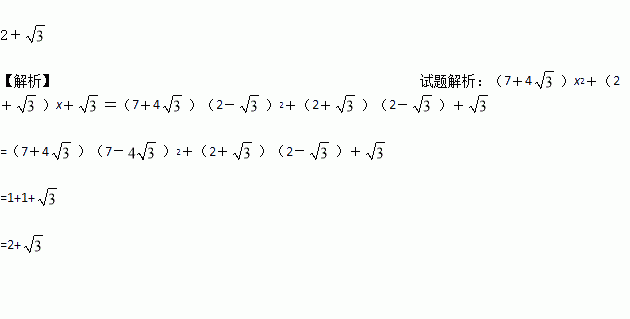
若x=2-,则代数式(7+4)x2+(2+)x+=_________.

练习册系列答案
相关习题

科目:初中数学 来源:2016-2017学年安徽省蚌埠市七年级下学期第一次月考数学试卷(解析版) 题型:单选题

下列说法:①实数和数轴上的点是一一对应的;②无理数是开方开不尽的数;③负数没有立方根;④16的平方根是±4,用式子表示是=±4;⑤某数的绝对值,相反数,算术平方根都是它本身,则这个数是0,其中错误的是(  )

A. 0个 B. 1个 C. 2个 D. 3个

查看答案和解析>>

科目:初中数学 来源:2017届湖北省鄂州市九年级下学期期中考试数学试卷(解析版) 题型:解答题

在四张编号为A,B,C,D的卡片(除编号外,其余完全相同)的正面分别写上如图所示正整数后,背面朝上,洗匀放好,现从中随机抽取一张(不放回),再从剩下的卡片中随机抽取一张.

(1)请用树状图或列表的方法表示两次抽取卡片的所有可能出现的结果(卡片用A,B,C,D表示);

(2)我们知道,满足a2+b2=c2的三个正整数a,b,c成为勾股数,求抽到的两张卡片上的数都是勾股数的概率.

查看答案和解析>>

科目:初中数学 来源:2017届湖北省鄂州市九年级下学期期中考试数学试卷(解析版) 题型:单选题

|﹣8|的相反数 (   )

A. ﹣8 B. 8 C. D.

查看答案和解析>>

科目:初中数学 来源:2016-2017学年河南省周口市西华县八年级下学期期中考试数学试卷(解析版) 题型:解答题

如果最简二次根式是同类二次根式,那么要使式子有意义, x的取值范围是什么?

查看答案和解析>>

科目:初中数学 来源:2016-2017学年河南省周口市西华县八年级下学期期中考试数学试卷(解析版) 题型:单选题

如图,矩形ABCD的对角线AC、BD相交于点O,CE∥BD,DE∥AC,若AC=4,则四边形CODE的周长(  ) 

A. 4 B. 6 C. 8 D. 10

查看答案和解析>>

科目:初中数学 来源:2017届安徽省淮南市中考一模数学试卷(解析版) 题型:判断题

如图,△ABC是等边三角形,AB=4cm,CD⊥AB于点D,动点P从点A出发,沿AC以2cm/s的速度向终点C运动,当点P出发后,过点P作PQ∥BC交折线AD﹣DC于点Q,以PQ为边作等边三角形PQR,设四边形APRQ与△ACD重叠部分图形的面积为S(cm2),点P运动的时间为t(s).

(1)当点Q在线段AD上时,用含t的代数式表示QR的长;

(2)求点R运动的路程长;

(3)当点Q在线段AD上时,求S与t之间的函数关系式;

(4)直接写出以点B、Q、R为顶点的三角形是直角三角形时t的值.

查看答案和解析>>

科目:初中数学 来源:2017届安徽省淮南市中考一模数学试卷(解析版) 题型:单选题

若关于x的一元二次方程方程(k﹣1)x2+4x+1=0有实数根,则k的取值范围是(  )

A. k<5 B. k≥5,且k≠1 C. k≤5,且k≠1 D. k>5

查看答案和解析>>

科目:初中数学 来源:2017届江苏省沭阳县九年级下学期第一次月考数学试卷(解析版) 题型:填空题

四张完全相同的卡片上,分别画有等边三角形、平行四边形、矩形、等腰梯形,现从中随机抽取一张,卡片上画的恰好是中心对称图形的概率为_______.

查看答案和解析>>

同步练习册答案