精英家教网 > 初中数学 > 题目详情

若a>b,则下列结论正确的是( )

A. a+2<b+2 B. a-5<b-5 C. D. 3a>3b

练习册系列答案
相关习题

科目:初中数学 来源:2017届江苏省无锡市天一实验学校九年级下学期期中考试数学试卷(解析版) 题型:解答题

(1)如图,将A、B、C三个字母随机填写在三个空格中(每空填一个字母,每空中的字母不重复),请你用画树状图或列表的方法求从左往右字母顺序恰好是A、B、C的概率;

(2)若在如图三个空格的右侧增加一个空格,将A、B、C、D四个字母任意填写其中(每空填一个字母,每空中的字母不重复),从左往右字母顺序恰好是A、B、C、D的概率为

查看答案和解析>>

科目:初中数学 来源:2017届浙江省舟山市中考模拟数学试卷(解析版) 题型:选择题

如图,已知△ABC,P为AB上一点,连接CP,以下条件中不能判定△ACP∽△ABC的是( )

A.∠ACP=∠B B.∠APC=∠ACB

C. D.

查看答案和解析>>

科目:初中数学 来源:2016-2017学年江苏省实验学校七年级下学期期中考试数学试卷(解析版) 题型:填空题

如果(x+1)(x2-5ax+a)的乘积的展开式中不含x2项,则a=___________.

查看答案和解析>>

科目:初中数学 来源:2016-2017学年江苏省实验学校七年级下学期期中考试数学试卷(解析版) 题型:单选题

若m=2125,n=375,则m、n的大小关系正确的是( )

A. m>n B. m<n C. m=n D. 大小关系无法确定

查看答案和解析>>

科目:初中数学 来源:2017届四川省简阳市阶段教育学校5月调研考模拟数学试卷(解析版) 题型:填空题

一个长方体木箱沿斜面下滑,当木箱滑至如图位置时,AB=m,已知木箱高BE=m,斜坡角为30°,则木箱端点E距地面AC的高度EF为 m.

查看答案和解析>>

科目:初中数学 来源:2017届四川省简阳市阶段教育学校5月调研考模拟数学试卷(解析版) 题型:填空题

如图,在Rt△中,斜边上的高AD=4, ,则AC=________.

查看答案和解析>>

科目:初中数学 来源:2017届江苏省南京市中考模拟数学试卷(解析版) 题型:解答题

如图,在Rt△ABC中,∠ACB=90°.

(1)用尺规在边BC上求作一点P,使PA=PB(不写作法,保留作图痕迹);

(2)连结AP,若AC=4,BC=8时,试求BP的长.

查看答案和解析>>

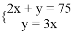
科目:初中数学 来源:2016-2017学年河北省石家庄市长安区七年级下学期期中质量检测数学试卷(解析版) 题型:单选题

如图,10块相同的长方形墙砖拼成一个矩形,设长方形墙砖的长和宽分别为x厘米和y厘米,则依题意列方程组正确的是 ( )

A. B. C. D.

查看答案和解析>>

同步练习册答案