精英家教网 > 初中数学 > 题目详情

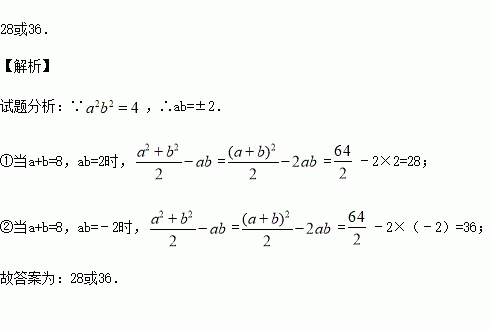
已知,则=

练习册系列答案
相关习题

科目:初中数学 来源:2017届广东省九年级上学期第五次月考数学试卷(解析版) 题型:填空题

分解因式:=__________________.

查看答案和解析>>

科目:初中数学 来源:2016-2017学年山东省滨州市邹平双语学校一二区八年级上学期期中考试数学试卷(解析版) 题型:解答题

(1)如果=0,求[(x2+y2)+2y(x-y)-(x-y)(x+3y)]÷4y的值.

(2)先化简,再求值:(2+a)(2-a)+a(a-5b)+3a5b3÷(-a2b)2,其中ab=-.

查看答案和解析>>

科目:初中数学 来源:2016-2017学年山东省滨州市邹平双语学校一二区八年级上学期期中考试数学试卷(解析版) 题型:单选题

有3张边长为a的正方形纸片,4张边长分别为a、b(b>a)的长方形纸片,5张边长为b的正方形纸片,从其中取出若干张纸片,每种纸片至少取一张,把取出的这些纸片拼成一个正方形(按原纸张进行无空隙、无重叠拼接),则拼成的正方形的边长最长可以为(  )

A. a+b B. 2a+b C. a+2b D. 3a+b

查看答案和解析>>

科目:初中数学 来源:2016-2017学年山东省滨州市邹平双语学校一二区八年级上学期期中考试数学试卷(解析版) 题型:解答题

(8分)如果(a+b+1)(a+b-1)=63,那么你能求出的值吗?请写出求解过程.

查看答案和解析>>

科目:初中数学 来源:2016-2017学年山东省滨州市邹平双语学校一二区八年级上学期期中考试数学试卷(解析版) 题型:填空题

若(m﹣2)0无意义,则代数式(﹣m2)3的值为______________.

查看答案和解析>>

科目:初中数学 来源:2016-2017学年山东省滨州市邹平双语学校一二区八年级上学期期中考试数学试卷(解析版) 题型:单选题

若4x2﹣2(k﹣1)x+9是完全平方式,则k的值为(  )

A. ±2 B. ±5 C. 7或﹣5 D. ﹣7或5

查看答案和解析>>

科目:初中数学 来源:2016-2017学年江苏省苏州张家港市九年级第二学期第一次模拟数学试卷(解析版) 题型:解答题

计算: -+2cos45°;

查看答案和解析>>

科目:初中数学 来源:2017届山东省滨州市无棣县九年级中考模拟数学试卷(解析版) 题型:单选题

下列计算正确的是(  )

A. 2a3+3a3=5a6 B. (x5)3=x8

C. ﹣2m(m﹣3)=﹣2m2﹣6m D. (﹣3a﹣2)(﹣3a+2)=9a2﹣4

查看答案和解析>>

同步练习册答案