精英家教网 > 初中数学 > 题目详情

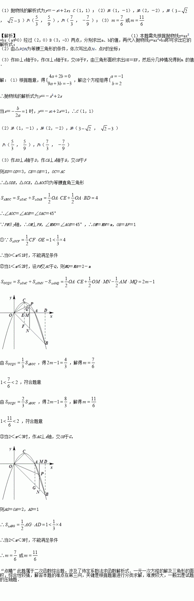
如图,抛物线y=ax2+bx经过A(2,0),B(3,-3)两点,抛物线的顶点为C,动点P在直线OB上方的抛物线上,过点P作直线PM∥y轴,交x轴于M,交OB于N,设点P的横坐标为m.

(1)求抛物线的解析式及点C的坐标;

(2)当△PON为等腰三角形时,点N的坐标为 ;当△PMO∽△COB时,点P的坐标为 ;(直接写出结果)

(3)直线PN能否将四边形ABOC分为面积比为1:2的两部分?若能,请求出m的值;若不能,请说明理由.

练习册系列答案
相关习题

科目:初中数学 来源:2016-2017学年安徽省芜湖市七年级下学期期中教学质量评估数学试卷(解析版) 题型:解答题

如图,已知DC∥FP,∠1=∠2,∠FED=28º,∠AGF=80º,FH平分∠EFG.

(1)说明:DC∥AB;

(2)求∠PFH的度数.

查看答案和解析>>

科目:初中数学 来源:2016-2017学年甘肃省张掖市七年级下学期期中考试数学试卷(解析版) 题型:选择题

如果一个角的补角是150°,那么这个角的余角的度数是( )

A、30° B、60° C、90° D、120°

查看答案和解析>>

科目:初中数学 来源:[首发]江苏省江苏省大丰市2017届九年级下学期第二次学情调研数学试卷 题型:填空题

已知一元二次方程x2-6x-c=0有一个根为2,则另一个根为_____________

查看答案和解析>>

科目:初中数学 来源:[首发]江苏省江苏省大丰市2017届九年级下学期第二次学情调研数学试卷 题型:单选题

已知一个多边形的内角和等于它的外角和,则这个多边形的边数为

A. 3 B. 4 C. 5 D. 6

查看答案和解析>>

科目:初中数学 来源:2017届湖北省老河口市中考适应性考试数学试卷(解析版) 题型:解答题

某部队将在指定山区进行军事演习,为了使道路便于部队重型车辆通过,部队工兵连接到抢修一段长3600米道路的任务,按原计划完成总任务的后,为了让道路尽快投入使用,工兵连将工作效率提高了50%,一共用了10小时完成任务.

(1)按原计划完成总任务的时,已抢修道路   米;

(2)求原计划每小时抢修道路多少米?

查看答案和解析>>

科目:初中数学 来源:2017届湖北省老河口市中考适应性考试数学试卷(解析版) 题型:填空题

如果关于的方程有两个相等的实数根,那么实数的值是____________.

查看答案和解析>>

科目:初中数学 来源:2017届北京市九年级5月中考押题卷数学试卷(解析版) 题型:解答题

为响应推进中小学生素质教育的号召,某校决定在下午15点至16点开设以下选修课:音乐史、管乐、篮球、健美操、油画.为了解同学们的选课情况,某班数学兴趣小组从全校三个年级中各调查一个班级,根据相关数据,绘制如下统计图.

(1)请根据以上信息,直接补全条形统计图(图1)和扇形统计图(图2);

(2)若初一年级有180人,请估算初一年级中有多少学生选修音乐史?

(3)若该校共有学生540人,请估算全校有多少学生选修篮球课?

查看答案和解析>>

科目:初中数学 来源:2016~2017学年安徽省芜湖市八年级下学期期中教学质量评估数学试卷(解析版) 题型:单选题

已知:|a|=5, ,且|a+b|=a+b,则a-b的值为( )

A. 2或12

B. 2或-12

C. -2或12

D. 2或-12

查看答案和解析>>

同步练习册答案