精英家教网 > 初中数学 > 题目详情

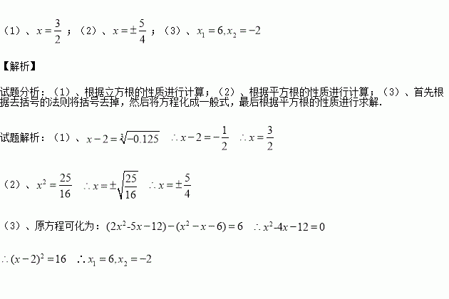
解下列方程:(1)

(2)

(3)

练习册系列答案
相关习题

科目:初中数学 来源:2015-2016学年北大附中河南分校七年级3月月考数学试卷(解析版) 题型:填空题

已知(2-4)2 + =0,则 .

查看答案和解析>>

科目:初中数学 来源:2015-2016学年北大附中河南分校八年级3月月考数学试卷(解析版) 题型:选择题

随着人们生活水平的提高,我国拥有汽车的居民家庭也越来越多,下列汽车标志中,是中心对称图形的是( )

查看答案和解析>>

科目:初中数学 来源:2015-2016学年安徽省七年级3月月考数学试卷(解析版) 题型:选择题

如图,a、b、c分别表示苹果、梨、桃子的质量.同类水果质量相等,则下列关系正确的是( )

A.a>c>b B.b>a>c C.a>b>c D.c>a>b

查看答案和解析>>

科目:初中数学 来源:2015-2016学年安徽省七年级3月月考数学试卷(解析版) 题型:选择题

若 2m﹣4 与 3m﹣1 是同一个正数的平方根,则 m 为( )

A.﹣3 B.1 C.﹣1 D.﹣3 或 1

查看答案和解析>>

科目:初中数学 来源:2015-2016学年安徽省宁国市D片七年级期中联考数学试卷(解析版) 题型:填空题

=

查看答案和解析>>

科目:初中数学 来源:2015-2016学年安徽省宁国市D片七年级期中联考数学试卷(解析版) 题型:选择题

若0<x<1,则x,x2,中,最小的数是( )

A.x B. C. D.x2

查看答案和解析>>

科目:初中数学 来源:2015-2016学年安徽省八年级下第一次月考数学卷(解析版) 题型:填空题

比较大小: .

查看答案和解析>>

科目:初中数学 来源:2015-2016学年山东省文慧学校七年级下第一次月考数学试卷(解析版) 题型:填空题

方程组的解是 .

查看答案和解析>>

同步练习册答案