精英家教网 > 初中数学 > 题目详情

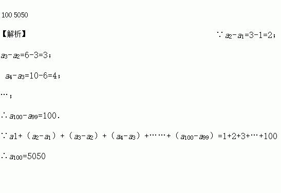
古希腊数学家把数1,3,6,10,15,21……叫做三角形数,它有一定的规律性.若把第一个三角形数记为a1,第二个三角形数记为a2,……,第n个三角形数记为an,计算a2-a1,a3-a2,a4-a3,……,由此推算,a100-a99= ____________,a100=__________.

练习册系列答案
相关习题

科目:初中数学 来源:【全国市里联考】山东省寿光市2017届九年级学业水平模拟考试(一模)数学试卷 题型:填空题

若整式x2+ky2(k为不等于零的常数)能在有理数范围内因式分解,则k的值可以是 (写出一个即可).

查看答案和解析>>

科目:初中数学 来源:浙江省台州市2017届九年级下学期第一次月考数学试卷 题型:解答题

在平面直角坐标系中,△ABC的顶点坐标是A(-7,1),B(1,1),C(1,7).线段DE的端点坐标是D(7,-1),E(-1,-7).

(1)试说明如何平移线段AC,使其与线段ED重合;

(2)将△ABC绕坐标原点O逆时针旋转,使AC的对应边为DE,请直接写出点B的对应点F的坐标;

(3)画出(2)中的△DEF,并和△ABC同时绕坐标原点O逆时针旋转90°,画出旋转后的图形.

查看答案和解析>>

科目:初中数学 来源:浙江省台州市2017届九年级下学期第一次月考数学试卷 题型:单选题

教材中“整式的加减”一章的知识结构如图所示,则A和B分别代表的是( )

A. 分式,因式分解 B. 二次根式,合并同类项

C. 多项式,因式分解 D. 多项式,合并同类项

查看答案和解析>>

科目:初中数学 来源:广西南宁市2017级九年级下学期第五次模拟考试数学试卷 题型:解答题

为积极响应市政府提出的“建设美丽南宁”的号召,我市某校在八,九年级开展征文活动,校学生会对这两个年级各班内的投稿情况进行统计,并制成了如图所示的两幅不完整的统计图.

(1)求扇形统计图中投稿篇数为2所对应的扇形的圆心角的度数:

(2)求该校八,九年级各班在这一周内投稿的平均篇数,并将该条形统计图补充完整.

(3)在投稿篇数为9篇的四个班级中,八,九年级各有两个班,校学生会准备从这四个班中选出两个班参加全市的表彰会,请你用列表法或画树状图的方法求出所选两个班正好不在同一年级的概率.

查看答案和解析>>

科目:初中数学 来源:广西南宁市2017级九年级下学期第五次模拟考试数学试卷 题型:填空题

因式分【解析】
=_____________________.

查看答案和解析>>

科目:初中数学 来源:广西南宁市2017级九年级下学期第五次模拟考试数学试卷 题型:单选题

下图是一个由7个同样的立方体叠成的几何体.请问下列选项中,既是中心对称图形,又是这个几何体的三视图之一的是( )

A. B. C. D.

查看答案和解析>>

科目:初中数学 来源:江苏省高邮市、宝应县2017届九年级下学期网上阅卷第二次适应性训练(二模)数学试卷 题型:填空题

如图,ABCD是⊙O的内接四边形,点E在AB的延长线上,BF是∠CBE的平分线,∠ADC=110°,则∠FBE=________________.

查看答案和解析>>

科目:初中数学 来源:【全国校级联考】四川省渠县九校2017届九年级下学期第一次联合模拟数学试卷 题型:单选题

在△ABC中,∠C=90°,a、b分别是∠A、∠B所对的两条直角边,c是斜边,则有( )是正确的.

A. sinA= B. cosB= C. sinB= D. tanA=

查看答案和解析>>

同步练习册答案