精英家教网 > 初中数学 > 题目详情

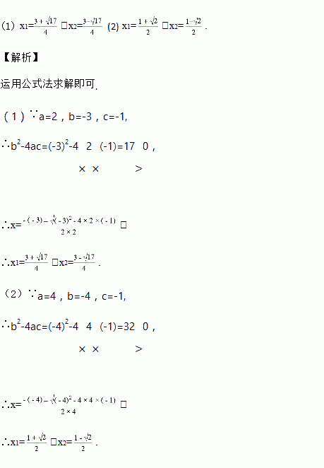
解下列方程:

(1)2x2-3x-1=0;]

(2)4x2-4x-1=0.

练习册系列答案
相关习题

科目:初中数学 来源:人教版七年级上册数学1.1-1.2课时检测题 题型:填空题

化简:

-(+6)=____;-(-1.8)=____;-[+(-3)]=____;-[-(-2)]=____.

查看答案和解析>>

科目:初中数学 来源:2018年秋人教版(河北专版)九年级上学期数学单元测试试卷:期末检测题 题型:解答题

如图,⊙O中,直径CD⊥弦AB于点E,AM⊥BC于点M,交CD于点N,连接AD.

(1)求证:AD=AN;

(2)若AB=8,ON=1,求⊙O的半径.

查看答案和解析>>

科目:初中数学 来源:2018年秋人教版(河北专版)九年级上学期数学单元测试试卷:期末检测题 题型:单选题

如果小球在如图所示的地面上自由滚动,并随机停留在某块方砖上,每块方砖大小、质地完全一致,那么它最终停留在黑色区域的概率是( )

A. B. C. D.

查看答案和解析>>

科目:初中数学 来源:青岛版九年级上册数学第四章一元二次方程综合测试(二) 题型:解答题

已知是关于的方程(x-2)(x-m)=(p-2)(p-m)的两个实数根.

(1)求的值;

(2)若是某直角三角形的两直角边的长,问当实数m,p满足什么条件时,此直角三角形的面积最大?并求出其最大值.

查看答案和解析>>

科目:初中数学 来源:青岛版九年级上册数学第四章一元二次方程综合测试(二) 题型:填空题

下面哪些数是方程x2-x-2=0的根?_________.

-3.-2.-1.0.1.2.3.

查看答案和解析>>

科目:初中数学 来源:青岛版九年级上册数学第四章一元二次方程综合测试(二) 题型:单选题

是关于的一元二次方程,则的值应为( )

A. m=2 B. m= C. m= D. 无法确定

查看答案和解析>>

科目:初中数学 来源:山东省2018-2019学年度第一学期北师大版七年级数学上_第一章_丰富的图形世界单元过关检测试卷 题型:填空题

将一个边长为10cm正方形,沿粗黑实线剪下4个边长为_________cm的小正方形,拼成一个大正方形作为直四棱柱的一个底面;余下部分按虚线折叠成一个无盖直四棱柱;最后把两部分拼在一起,组成一个完整的直四棱柱,它的表面积等于原正方形的面积.

查看答案和解析>>

科目:初中数学 来源:山东省青岛市2017-2018学年度第一学期北师大版七年级第一次月考试卷 题型:填空题

如果= 5,则a = __________.

查看答案和解析>>

同步练习册答案