精英家教网 > 初中数学 > 题目详情

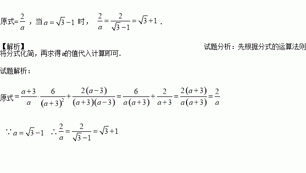
先化简,再求值: ,其中

练习册系列答案
相关习题

科目:初中数学 来源:2017届山东泰安市中考二模数学试卷(解析版) 题型:解答题

如图,⊙O的直径AB垂直于弦CD,垂足为点E,过点C作⊙O 的切线,交AB的延长线于点P,联结PD.

(1)判断直线PD与⊙O的位置关系,并加以证明;

(2)联结CO并延长交⊙O于点F,联结FP交CD于点G,如果CF=10,cos∠APC=,求EG的长.

查看答案和解析>>

科目:初中数学 来源: 题型:填空题

13.一个立方体棱长为3×104厘米,则其表面积(结果用科学记数法表示)为5.4×109

查看答案和解析>>

科目:初中数学 来源: 题型:填空题

10.据相关数据统计,大多数动植物细胞的直径在20微米到30微米之间,已知某动物细胞直径为25微米,即为0.000025米,请将0.000025用科学记数法表示为2.5×10-5

查看答案和解析>>

科目:初中数学 来源: 题型:选择题

17.下列各数中,界于6与7之间的数是(  )
A.$\sqrt{39}$B.$\root{3}{216}$C.$\root{3}{39}$D.$\sqrt{26}$

查看答案和解析>>

科目:初中数学 来源:2017届广东省揭阳市九年级下学期第一次月考数学试卷(解析版) 题型:填空题

若正多边形的一个内角等于140°,则该正多边形的边数是________.

查看答案和解析>>

科目:初中数学 来源:2017届广东省揭阳市九年级下学期第一次月考数学试卷(解析版) 题型:单选题

下列图形中,是轴对称图形,但不是中心对称图形的是(  )

A. B. C. D.

查看答案和解析>>

科目:初中数学 来源:2017届山东省淄博市(五四学制)九年级下学期第一次月考数学试卷(解析版) 题型:单选题

如图,在平行四边形ABCD中,AB=6,AD=9,∠BAD的平分线交BC于E,交DC的延长线于F,BG⊥AE于G,BG=,则△EFC的周长为( )

A. 11 B. 10 C. 9 D. 8

查看答案和解析>>

科目:初中数学 来源:2017届山东省济南市天桥区九年级学业水平考试第一次模拟数学试卷(解析版) 题型:填空题

有一组数据:2,a,4,6,7,它们的平均数是5,则这组数据的中位数是______________.

查看答案和解析>>

同步练习册答案