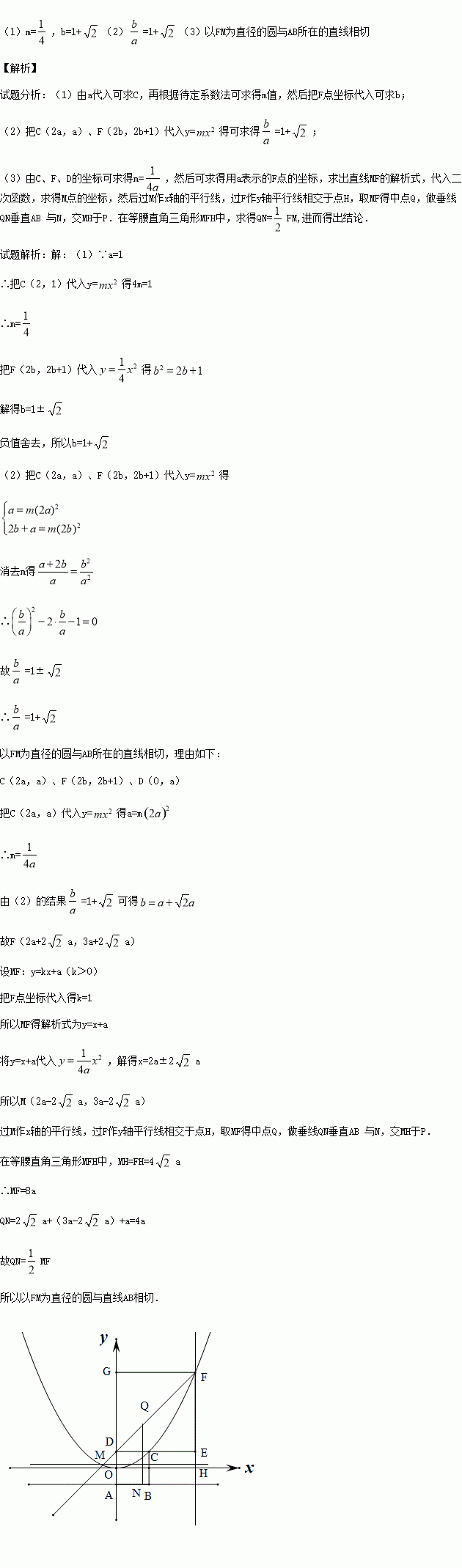
(本题满分10分)如图,在平面直角坐标系中,正方形ABCD和正方形DEFG的边长分别为
,点A、D、G在
轴上,坐标原点O为AD的中点,抛物线
过C、F两点,连接FD并延长交抛物线于点M.
![]()
(1)若
,求m和b的值;
(2)求
的值;
(3)判断以FM为直径的圆与AB所在直线的位置关系,并说明理由.
科目:初中数学 来源:2017届安徽省池州市中考模拟试卷数学试卷(解析版) 题型:解答题
为鼓励大学毕业生自主创业,池州市政府出台了相关政策:由政府协调,本市企业按成本价提供产品给大学毕业生自主销售,成本价与出厂价之间的差价由政府承担.王宏按照相关政策投资销售本市生产的一种新型节能灯.已知这种节能灯的成本价为每件10元,出厂价为每件12元,每月销售量y(件)与销售单价x(元)之间的关系近似满足一次函数:y=-10x+400.
(1)王宏在开始创业的第一个月将销售单价定为18元,那么政府这个月为他承担的总差价为多少元?
(2)设王宏获得的利润为W(元),当销售单价为多少元时,每月可获得最大利润?
(3)若物价部门规定,这种节能灯销售单价不得高于24元.如果王宏想要每月获得的利润不低于2000元,那么政府为他承担的总差价最少为多少元?
查看答案和解析>>
科目:初中数学 来源:2016-2017学年安徽省芜湖市七年级下学期期中教学质量评估数学试卷(解析版) 题型:单选题
如图,直线AB、CD相交于点O,OE平分∠BOD,OF平分∠COE,∠AOD:∠BOE=4:1,则∠AOF的度数为( )
![]()
A. 120° B. 125° C. 130° D. 135°
查看答案和解析>>
科目:初中数学 来源:2016-2017学年甘肃省张掖市七年级下学期期中考试数学试卷(解析版) 题型:填空题
如图,直线AB、CD、EF相交于一点,∠1=50°,∠2=64°,则∠COF= __度.
![]()
查看答案和解析>>
科目:初中数学 来源:2016-2017学年甘肃省张掖市七年级下学期期中考试数学试卷(解析版) 题型:单选题
如图,点E在CD的延长线上,下列条件中不能判定AB∥CD的是( )
![]()
A. ∠1=∠2 B. ∠3=∠4 C. C.∠5=∠B D. ∠B+∠BDC=180°
查看答案和解析>>
科目:初中数学 来源:[首发]江苏省江苏省大丰市2017届九年级下学期第二次学情调研数学试卷 题型:解答题
如图,一海轮位于灯塔P的西南方向,距离灯塔40了2海里的A处,它沿正东方向航行一段时间后,到达位于灯塔P的南偏东60°方向上的B处,求航程AB的值(结果保留根号).
![]()
查看答案和解析>>
科目:初中数学 来源:[首发]江苏省江苏省大丰市2017届九年级下学期第二次学情调研数学试卷 题型:填空题
如图,在平面直角坐标系中,点P的坐标为(0,
),线y=
与x轴、y轴分别交于A、B,点M是直线AB上的一个动点,则PM长的最小值为___________________
![]()
查看答案和解析>>
科目:初中数学 来源:2017届湖北省老河口市中考适应性考试数学试卷(解析版) 题型:解答题
某厂商投产一种新型电子产品,每件制造成本为18元,试销过程中发现,每月销售量y(万件)与销售单价x(元)之间的关系可以近似地看作一次函数y=-2x+100.(利润=售价-制造成本)
(1)写出每月的利润z(万元)与销售单价x(元)之间的函数关系式;
(2)当销售单价为多少元时,厂商每月能获得350万元的利润?当销售单价为多少元时,厂商每月能获得最大利润?最大利润是多少
?
(3)根据相关部门规定,这种电子产品的销售单价不能高于32元,如果厂商要获得每月不低于350万元的利润,那么制造出这种产品每月的最低制造成本需要多少万元?
查看答案和解析>>
湖北省互联网违法和不良信息举报平台 | 网上有害信息举报专区 | 电信诈骗举报专区 | 涉历史虚无主义有害信息举报专区 | 涉企侵权举报专区
违法和不良信息举报电话:027-86699610 举报邮箱:58377363@163.com