精英家教网 > 初中数学 > 题目详情

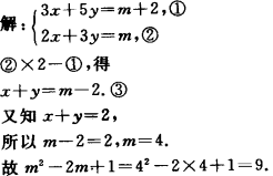
方程组的解适合方程x+y=2,求代数式m2-2m+1的值.

练习册系列答案
相关习题

科目:初中数学 来源:2011-2012学年北京西城人教版二元一次方程组单元测试 题型:选择题

已知二元一次方程组下列说法正确的是(    ).

(A)适合方程②的xy的值是方程组的解

(B)适合方程①的xy的值是方程组的解

(C)同时适合方程①和②的xy的值是方程组的解

(D)同时适合方程①和②的xy的值不一定是方程组的解

 

查看答案和解析>>

科目:初中数学 来源: 题型:解答题

已知方程组数学公式的解适合方程x+y=8,求m的值.

查看答案和解析>>

科目:初中数学 来源: 题型:解答题

(1)解方程:数学公式
(2)(x-1)2+(x+3)(x-3)+(x-3)(x-1);
(3)关于x、y的方程组数学公式的解适合方程x+y=2,求代数式m2-2m+1的值.

查看答案和解析>>

科目:初中数学 来源:江苏省期末题 题型:解答题

如果关于x,y的方程组的解适合方程3x+y=﹣7,求k的值.

查看答案和解析>>

科目:初中数学 来源:江苏省期末题 题型:解答题

如果关于x,y的方程组的解适合方程3x+y=﹣7,求k的值.

查看答案和解析>>

同步练习册答案