精英家教网 > 初中数学 > 题目详情

某种型号的家用车在高速公路上匀速行驶时,测得部分数据如下表:

行驶路程(千米)

油箱内剩余油量(升)

(1)如果该车的油箱内剩余油量(升)与行驶路程(千米)之间是一次函数关系,求 关于的函数解析式(不需要写出它的定义域);

(2)张老师租赁该型号的家用车也在该高速公路的相同路段以相同的速度匀速行驶千米(不考虑小轿车载客的人数以及堵车等因素).假如不在高速公路上的服务区加油,那么在上高速公路之前,张老师这辆车的油箱内至少需要有多少升汽油?请根据题目中提供的相关信息简要说明理由.

练习册系列答案
相关习题

科目:初中数学 来源:2017届湖南省娄底市九年级中考一模数学试卷(解析版) 题型:解答题

计算:()-1﹣(2017﹣π)0﹣2sin45°+|﹣1|

查看答案和解析>>

科目:初中数学 来源:2017届浙江省杭州市九年级3月教学质量检测(模拟)数学试卷(解析版) 题型:选择题

下列运算结果正确的是( )

A.a+2b=3ab

B.3a2﹣2a2=1

C.a2•a4=a8

D.(﹣a2b)3÷(a3b)2=﹣b

查看答案和解析>>

科目:初中数学 来源:2016-2017学年河北省唐山市路南区八年级下学期期中质量检测数学试卷(解析版) 题型:单选题

如图所示:数轴上点A所表示的数为a,则a的值是(  )

A. +1 B. -+1 C. -1 D.

查看答案和解析>>

科目:初中数学 来源:2016-2017学年河北省唐山市路南区八年级下学期期中质量检测数学试卷(解析版) 题型:单选题

在□ABCD中,若∠A=40°,则∠C=( )

A. 140° B. 130° C. 50° D. 40°

查看答案和解析>>

科目:初中数学 来源:2017届上海市嘉定区初三第二学期质量调研测试数学试卷(解析版) 题型:填空题

命题“相等的角不一定是对顶角”是__命题(从“真”或“假”中选择).

查看答案和解析>>

科目:初中数学 来源:2017届上海市嘉定区初三第二学期质量调研测试数学试卷(解析版) 题型:填空题

方程=x的实数解是__.

查看答案和解析>>

科目:初中数学 来源:2017届上海市宝山区九年级第二学期期中考试数学试卷(解析版) 题型:填空题

如图,E、F分别为正方形ABCD的边AB、AD上的点,且AE=AF,联接EF,将△AEF绕点A逆时针旋转45°,使E落在E,F落在F,联接BE并延长交DF于点G,如果AB=,AE=1,则DG=______.

查看答案和解析>>

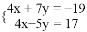
科目:初中数学 来源:2016-2017学年广西北海市合浦县七年级下学期期中考试数学试卷(解析版) 题型:单选题

对于方程组,用加减法消去x,得到的方程是( )

A. 2y=-2 B. 2y=-36 C. 12y=-2 D. 12y=-36

查看答案和解析>>

同步练习册答案