精英家教网 > 初中数学 > 题目详情

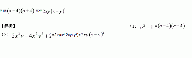
(本题8分,每小题4分)因式分【解析】

(1) (2)

练习册系列答案
相关习题

科目:初中数学 来源:内蒙古毕业升学第二次模拟考试数学试卷 题型:填空题

田大伯为与客户签订销售合同,需了解自己鱼塘里鱼的数量,为此,他从鱼塘先捞出200条鱼做上标记再放入鱼塘,经过一段时间后又捞出300条,发现有标记的鱼有20条,则田大伯的鱼塘里鱼的条数大约是_________条.

查看答案和解析>>

科目:初中数学 来源:浙江省温州市2015-2016学年七年级下学期期中考试数学试卷 题型:解答题

如图,△ABC的顶点都在方格纸的格点上,将△ABC先向左平移1格,再向上平移3格,其中每个格子的边长为1个单位长度.

(1)在图中作出平移后的△A1B1C1;

(2)若连接BB1,CC1,则这两条线段的关系是 .

查看答案和解析>>

科目:初中数学 来源:浙江省温州市2015-2016学年七年级下学期期中考试数学试卷 题型:单选题

是关于x,y的方程ax- y=3的解,则a的值是( )

A. 1 B. 2 C. 3 D. 4

查看答案和解析>>

科目:初中数学 来源:江苏省泰州市姜堰区2016-2017学年七年级下学期期末考试数学试卷 题型:解答题

(本题12分)如图,线段AD、BE相交与点C,且△ABC≌△DEC,点M、N分别为线段AC、CD的中点.

求证:(1)ME=BN; (2)ME∥BN.

查看答案和解析>>

科目:初中数学 来源:江苏省泰州市姜堰区2016-2017学年七年级下学期期末考试数学试卷 题型:填空题

如图,点B在AD的延长线上,DE∥AC,若∠C=50°,∠BDE=60°,则∠CDB=_____°.

查看答案和解析>>

科目:初中数学 来源:江苏省泰州市姜堰区2016-2017学年七年级下学期期末考试数学试卷 题型:单选题

已知不等式组的解集为,则得取值范围是( )

A. B. C. D.

查看答案和解析>>

科目:初中数学 来源:内蒙古鄂尔多斯市鄂托克旗2016-2017学年八年级下学期期末考试数学试卷 题型:填空题

如果(a、b为有理数),则a+b=_________

查看答案和解析>>

科目:初中数学 来源:北京市西城区2016-2017学年八年级下学期期末考试数学试卷 题型:解答题

如图,在平面直角坐标系xOy中,点在直线上,过点∥y轴,交直线于点,以为直角顶点, 为直角边,在的右侧作等腰直角三角形;再过点∥y轴,分别交直线两点,以为直角顶点, 为直角边,在的右侧作等腰直角三角形,…,按此规律进行下去,点的横坐标为______,点的横坐标为______,点的横坐标为_______.(用含n的式子表示,n为正整数)

查看答案和解析>>

同步练习册答案