精英家教网 > 初中数学 > 题目详情

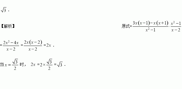
先化简,再求值: ,其中.

练习册系列答案
相关习题

科目:初中数学 来源:广西柳州市柳南区2017年中考三模数学试卷 题型:填空题

如图,Rt△ABC在第一象限, ,AB=AC=2,点A在直线上,其中点A的横坐标为1,且AB∥轴,AC∥轴,若双曲线有交点,则k的取值范围是_______.

查看答案和解析>>

科目:初中数学 来源:辽宁省营口市2017届九年级下学期第四次中考模拟数学试卷 题型:单选题

如图,把一个正方形对折两次后沿虚线剪下,展开后所得到的图形是( )

A. B. C. D.

查看答案和解析>>

科目:初中数学 来源:山东省德州市业水平考试数学试卷 题型:单选题

下列各式:①;②;③;④;⑤.其中正确的是( )

A. ①②③ B. ①③⑤ C. ②③④ D. ②④⑤

查看答案和解析>>

科目:初中数学 来源:湖北省麻城市2016-2017学年八年级下学期第二次月考数学试卷 题型:解答题

黄冈农科院培育的“黄金8号”玉米种子的价格为5元/kg,如果一次购买2kg以上的种子,超过2kg部分的种子的价格打8折.

(Ⅰ)根据题意,填写下表:

购买种子的数量/kg 1.5 2 3.5 4 …

付款金额/元 7.5     16      

(Ⅱ)设购买种子数量为xkg,付款金额为y元,求y关于x的函数解析式;

(Ⅲ)若小明帮奶奶一次购买该种子花费了30元,求他购买种子的数量.

查看答案和解析>>

科目:初中数学 来源:湖北省麻城市2016-2017学年八年级下学期第二次月考数学试卷 题型:填空题

将一次函数y=3x﹣1的图象沿y轴向上平移3个单位后,得到的图象对应的函数关系式为____________.

查看答案和解析>>

科目:初中数学 来源:湖北省麻城市2016-2017学年八年级下学期第二次月考数学试卷 题型:单选题

直线y=kx+b交坐标轴于A(-6,0),B(0,7)两点,则不等式kx+b>0的解集为( )

A. x<-7 B. x>7 C. x>-6 D. x<-6

查看答案和解析>>

科目:初中数学 来源:辽宁省盖州市2017届九年级中考模拟数学试卷 题型:填空题

已知a+b=3,a﹣b=5,则代数式a2﹣b2的值是______.

查看答案和解析>>

科目:初中数学 来源:山东省德州市2016-2017学年七年级下学期第二次月考数学试卷 题型:填空题

如果是一个二元一次方程,则=__________, =___________。

查看答案和解析>>

同步练习册答案