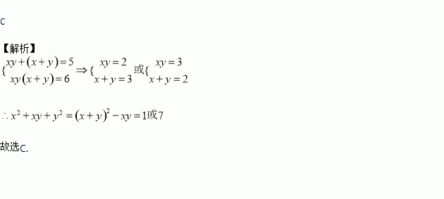
已知x、y均为实数,且满足xy+x+y=5,x2y+xy2=6,则代数式 x2+x y+ y2 的值为( )
A. 1 B. 7 C. 1或7 D. 11
科目:初中数学 来源:2017届湖北省黄冈市中考模拟数学试卷(解析版) 题型:单选题
某地一天的最高气温是8℃,最低气温是﹣2℃,则该地这天的温差是( )
A. 10℃ B. ﹣10℃ C. 6℃ D. ﹣6℃
查看答案和解析>>
科目:初中数学 来源:【全国市级联考】山东省威海市2017届九年级下学业水平模拟调研数学试卷 题型:单选题
如图所示,在下列给出的条件中,不能够判定△ABC∽△ACD的是( )
![]()
A. ∠B=∠ACD B. ∠ADC=∠ACB C. AC2=AD•AB D.
=![]()
查看答案和解析>>
科目:初中数学 来源:【全国百强校】2017届江苏省自主招生模拟考试数学试卷(解析版) 题型:填空题
如图,在平面直角坐标系xoy中,四边形ODEF和四边形ABCD都是正方形,点F在y轴的正半轴上,点C在边DE上,反比例函数
的图象过点B、E.则 AB的长为________.
![]()
查看答案和解析>>
科目:初中数学 来源:【全国百强校】2017届江苏省自主招生模拟考试数学试卷(解析版) 题型:单选题
已知△ABC的周长是24,M为AB的中点,MC=MA=5,则△ABC的面积为( )
A. 12 B. 16 C. 24 D. 30
查看答案和解析>>
科目:初中数学 来源:2016-2017学年江苏省句容市片区八年级下学期第一次学情调研数学试卷(解析版) 题型:判断题
如图,将矩形纸片
沿对角线
折叠,点
落在点
处,
交
于点
,连结
.证明:(1)BF=DF.(2)若BC=8,DC=6,求BF的长。
![]()
查看答案和解析>>
科目:初中数学 来源:2016-2017学年江苏省句容市片区八年级下学期第一次学情调研数学试卷(解析版) 题型:填空题
如图,在菱形ABCD中,AD=8,
ABC=1200,E是BC的中点,P为对角线AC上的一个动点,则PE+PB的最小值为_________.
![]()
查看答案和解析>>
科目:初中数学 来源:2017届湖北省襄阳市老河口九年级中考适应性考试数学试卷(解析版) 题型:填空题
如图,以正方形ABCD的对角线BD为边作菱形BDEF,当点A,E,F在同一直线上时,∠F的正切值为___________.
![]()
查看答案和解析>>
湖北省互联网违法和不良信息举报平台 | 网上有害信息举报专区 | 电信诈骗举报专区 | 涉历史虚无主义有害信息举报专区 | 涉企侵权举报专区
违法和不良信息举报电话:027-86699610 举报邮箱:58377363@163.com